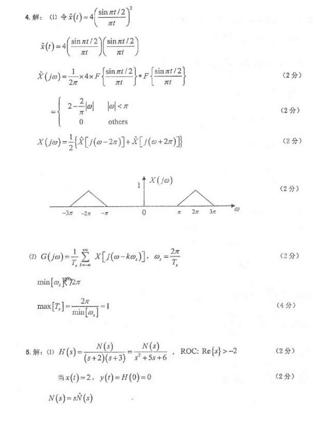
2010年成都电子科技大学836信号与系统和数字电路考研真题及答案(9)

本站小编 免费考研网/2019-12-13


相关话题/成都电子科技大学