转换价格是指可转债转换为股票时的每股价格
转换比率是指每份可转换债券所能转换的股票数。它与转换价格的关系可用公式表示为:
转换比率=可转换债券面值/普通股转换价格
第八讲: 资本成本及资本结构
1. 理解并掌握个别资本成本的含义与计算
资本成本是指企业为筹集和使用资金而付出的代价。包括资金筹集费用和资金占用费用两部分。
从投资者的角度理解,资本成本是资金提供者要求得到的投资报酬率
从本质上来讲,资本成本是资本的机会成本。
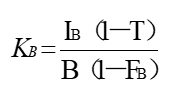
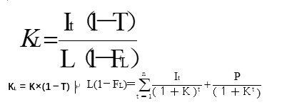
长期借款资本成本
式中:KL——长期借款资本成本;
It——长期借款年利息;
T——所得税率;
L——长期借款筹资额(借款本金);
FL——长期借款筹资费率。
考虑货币的时间价值,可采用类似计算内部收益率的方法确定长期借款的税前成本,再进而计算税后成本。计算公式为:
长期债券资本成本
式中:KB——长期债券资本成本;
IB——长期债券年利息;
T——所得税率;
B——长期债券筹资额;
FB——长期债券筹资费率
上述公式只是债券资本成本的近似计算公式,如果要精确计算,还需要以现金流量分析为基础

优先股资本成本
式中:Kp——优先股资本成本;
Dp——优先股年股息;
Pp——优先股筹资额(按发行价格确定);
Fp——优先股筹资费率。

留存收益资本成本
1) 股利固定增长模型
式中:
KS——留存收益资本成本;
DC——预期年股利额;
PC——普通股市价;
G——普通股利年增长率。
2)资本资产定价模型
Ks= RF + β(RM - RF)
式中:Ks—留存收益成本
RF——无风险报酬率;
β——股票的贝他系数;
RM——平均风险股票必要报酬率
普通股资本成本
式中:KNC——普通股资本成本;
FC—普通股筹资费率。
DC——预期年股利额;
PC——普通股市价;
G——普通股利年增长率。

2.理解并掌握加权平均资本成本的含义与计算
加权平均资本成本(WACC)是以各种个别资本占全部长期资本的比重为权数,进行加权平均确定的。
(1)按账面价值确定资本比例
优点:资料容易取得;缺陷:市场价值脱离账面价值许多时,会失去显示客观性。
(2)按市场价值确定资本比例
优点:反映了现实的资本结构和综合资本成本水平有利于筹资管理决策;缺陷:市场价值经常变动不易选定。
(3)按目标价值确定资本比例
优点:能体现期望的目标资本结构要求;缺陷:目标价值难以客观确定。
3.掌握经营杠杆、财务杠杆、复合杠杆的含义、计算与理解
经营杠杆:由于固定成本的作用,使产销量的微小变化引起息税前利润大幅度变化的现象

也可表示为
DOLQ——销售量为Q时的经营杠杆系数;
Q——销量;
P——销售单价;
V——单位变动成本;
F——固定成本总额。
S——销售额;
VC——变动成本总额;
或者:DOL=基期边际贡献/基期息税前利润

一般而言,经营杠杆系数越大,利润变动越激烈,企业的经营杠杆利益和经营风险就越大 。
引起企业经营风险的主要原因,是市场需求和成本因素的不确定性,经营杠杆本身并不是利润不稳定的根源。但是产销量增加时,利润将以DOL倍的幅度增加;而产销量减少时,利润又将以DOL倍的幅度减少。可见经营杠杆扩大了市场和生产等不确定因素对利润变动的影响。DOL越高,利润变动越激烈,企业经营风险越大。
财务杠杆:由于债务利息的作用,使经营利润的微小变化引起每股净利润的大幅度变化的现象
DFL——财务杠杆系数;
EPS——变动前的普通股每股收益;
△EPS——普通股每股收益变动额;
EBIT——变动前的息税前利润;
△EBIT——息税前利润变动额。

简化公式:![]()
一般而言,财务杠杆系数越大,企业的财务杠杆利益和财务风险就越高 ;
复合杠杆:由于固定成本和财务费用共同存在而导致的普通股每股收益的变动率大于产销量变动率的杠杆效应。是营业杠杆和财务杠杆的综合。
![]()
复合杠杆系数越大,每股收益的波动幅度越大,复合风险越大;
4.了解资本结构理论
净收益学说:负债可以降低公司的资本成本,负债程度越高,企业的综合资本成本越低,企业的价值越大。
营业净利说:资本结构的选择没有意义。
传统学说:存在一个最佳资本结构,可使企业价值最大。
现代资本结构理论 — MM理论
无税的MM模型:在无政府税收时,增加公司债务并不能提高公司价值,因为负债带来的好处完全为其同时带来的风险所抵消
有公司税的MM模型
由于债务利息可以抵税,所以企业价值随着负债的增加而增加,企业可以无限制的负债,负债100%时企业价值达到最大。
公司税和个人所得税同时存在的MM模型(米勒模型):在公司税和个人所得税同时存在的情况下,负债能否提高企业价值取决于各种税率的大小
现代资本结构理论的发展—权衡理论:负债具有节税作用,但负债增加时,会产生财务危机成本和代理成本,从而使企业价值减少
当公司陷入财务困境时,为此要支付一定的成本,称为财务危机成本,财务危机成本可分为:直接成本 间接成本
代理成本:企业经理与股东和债权人之间的委托代理关系。
当我们把财务危机成本和代理成本考虑进来后,公司价值的计算公式变为:
VL = VU + TCB - FPV -APV
式中:
VL——有负债公司价值;
VU——无负债公司价值;
TCB——税赋节余价值;
FPV——预期财务危机成本(现值);
APV——代理成本(现值)。
5.掌握资本结构决策分析的方法
每股收益无差别点法:能使下列等式成立的EBIT,即为每股收益无差别点的EBIT :
【(EBIT-I1)×(1-T)】÷N1
=【(EBIT-I2)×(1-T)】÷N2
进行每股收益分析时,当预计销售额(或EBIT)大于无差别点的销售额(或EBIT)时,运用负债筹资可获得较高每股收益;反之,运用权益筹资可获得较高每股收益。
每股收益无差别点法只考虑了资本结构对每股收益的影响,并假定每股收益最大,股票价格也最高。但把资本结构对风险的影响置于视野之外,是不全面的。因为随着负债的增加,投资者风险加大,企业价值会有下降的趋势,所以,单纯依靠此法有时会做出错误决策。
资本成本比较法
公司价值分析法
第九讲 营 运 资 本 管 理
1. 了解营运资本的特征及运动规律
营运资本的周转具有流动性(短期性)
营运资本的实物形态具有易变现性
营运资本的数量具有波动性(随营业收入而波动)
营运资本的占用形态具有变动性
营运资本的来源具有灵活多样性
2理解营运资本管理的意义、原则及策略
营运资本管理的意义
1. 企业现金流量预测上的不确定性以及现金流入和现金流出的非同步性,使营运资本成为企业生产经营活动的重要组成部分
2.营运资本周转是整个企业资本周转的依托,是企业生存与发展的基础
3.营运资本在企业资本总额中所占比重较高。如果营运资本管理不善,会导致企业营运资本周转不灵,乃至破产倒闭。
4.营运资本管理水平决定着财务报表所披露的企业形象。如现金管理水平直接影响着现金流量表;应收账款、存货管理水平直接影响着销售收入、销售成本,进而影响损益表;流动资产、流动负债管理水平直接影响着资产负债表等。
营运资本的管理原则
1.对风险和收益进行适当的权衡。
2.重视营运资本的合理配置。
3.加速营运资本周转,提高资本的利用效果。
加速营运资本周转的途经
缩短存货周转期
缩短应收账款周转期
延长应付账款周转期
经营周期是指从获得原材料开始,经加工、销售,到最终收回货款为止时间过程。
经营周期(营业周期)=存货周转天数+应收帐款周转天数
现金周转期是指从支付原材料货款开始到最终收回本公司货款为止的时间过程。
营运资金周转期=现金周转期=经营周期-应付帐款周转天数=存货周转天数+应收帐款周转天数-应付帐款周转天数
营运资本筹资策略:在既定的总资产水平下,营运资本中流动负债筹资额与长期负债筹资额的比例关系
中庸(折衷)型筹资策略
对那些受季节性、周期性影响的临时性流动资产所需资本由短期非自发融资来融通,而永久性流动资产、固定资产等长期资产所需资本则由长期债务、自有资本等长期资本及自发性融资来筹集。
冒险(激进)型筹资策略
临时性流动资产和一部分永久性流动资产由短期非自发融资来融通,其余的资产由长期债务、权益资本及自发性融资来融通。
保守型筹资策略
短期资产的一部分和全部长期资产都用长期资金来融通,而只有一部分短期资产用短期资金来融通。这种策略的风险较小
2. 理解和掌握公司持有现金的目的、现金管理模型、现金收支管理
目的: 交易动机(正常开支);
预防动机(应付萧条、回购股票、意外开支);
投机动机(抓住突然出现的获利机会)
持有现金的成本
机会成本——因持有现金而放弃了有利投资机会可能获得的利益;
机会成本=平均现金余额×机会成本率
管理成本——是指企业由于持有现金而发生的有关管理费用,如安全措施的建造、有关人员的工资等。
转换成本——现金同有价证券之间相互转换的成本。
转换成本总额=转换次数×每次转换成本
短缺成本——是指企业由于现金持有不足,不能满足业务开支所需而蒙受的损失或付出的代价。短缺成本与现金持有金额成反比,即现金持有金额越大,短缺成本越低。短缺成本一般可根据估计损失额确认。
米勒-奥尔模型(随机模型)
假设每日现金净流量是一个随机变量,且近似的服从正态分布,定义了两个现金控制额,上限为H,下限为L
![]()
现金周转模型
现金周转期 = 存货周转期 + 应收账款周转期-应付帐款周转
现金周转次数 = 1/现金周转期 ×计算期天数
最佳现金持有金额 = 预计现金年需求总量/现金周转次数
因素分析模型
最佳现金余额=(上年现金平均占用额 - 不合理占用额)×(1 ±预计销售收入变化的百分比)
现金收支的管理
1. 建立现金收支的内部控制制度
2. 遵守现金收支结算纪律
3.加速收款
4.控制付款
3.理解和掌握应收账款的功能、成本,掌握信用政策和收账政策的决策方法
作用:增加销售减少存货
应收账款的成本
1、 机会成本. 2、管理成本3、坏账成本
信用评估:【信用的5C评估法】
客户的信用品质(Character,客户履约或赖账的可能性)
偿付能力(Capacity,变现能力)、
资本(Capital,经济实力、财务状况)、
抵押品(Collateral)、
经济状况(Conditions,经济环境和应变能力);
现金折扣:规定的时间内提前偿付货款的客户可按销售收入的一定比率享受折扣
应收账款的监控:
应收账款账龄分析
应收账款的账龄结构,是指各账龄应收账款的余额占应收账款总计余额的比重。
应收账款收现保证率分析:有效收现的账款应占全部应收账款的百分比,两者应当保持的最低比例。
应收账款收现保证率=(当期必要现金支付总额-当期其他稳定可靠的现金流入总额)÷当期应收账款总额
4.理解存货成本的内容,掌握存货管理的基本模型及扩展模型,理解ABC管理法等存货控制方法。
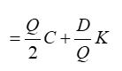
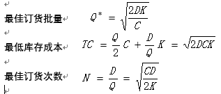
存货的成本:1、采购成本。2、订货成本 3、储存成本。4、缺货成本。存货不足给企业造成的损失。
传统存货控制方法
1. 经济订货批量
D—某种存货全年需要量;Q—每次订货批量; 总成本
C— 单位存货年储存成本;K—每次订货成本。

ABC控制法
A类存货:品种数量约占整个存货的10%,但价值约占全部存货的70%。对A类存货应作为管理的重点,实行重点控制、严格管理。
B类存货:品种数量约占全部存货的20%,价值约占全部存货的20%。B类存货品种、价值均不大,可采用中等储备普通管理方法。
C类存货:品种数量多,约占整个存货的70%,价值约占全部存货的10%。对C类存货的控制方法应力求简便易行,只作一般管理
现代物流管理模式—准时制存货控制
以需定供,即供方根据需方的要求(或称看板),按照需方需求的品种、规格、质量、数量、时间、地点等要求,将物品配送到指定的地点。不多送,也不少送,不早送,也不晚送,所送品种要个个保证质量,不能有任何废品。
5.掌握短期融资决策方法
自发性融资----商业信用

非自发融资—短期借款
1、信用借款
(1)信贷限额
(2)周转信贷协议
(3)补偿性余额
实际利率=名义利率÷(1—补偿余额比例)
2、担保借款
第十讲 利润分配管理
1. 利润分配的原则、顺序
依法分配原则。资本保全原则 兼顾各方利益原则 分配与积累并重原则 投资与收益对等原则
企业利润应按下列顺序分配:
(1)弥补以前年度的亏损
企业发生亏损弥补途径有三条:
以后年度税前利润补亏。
以后年度税后利润补亏
盈余公积补亏
(2)提取法定盈余公积金
当年税后利润(弥补亏损后)的10%。达到注册资本50%时可不再提取。
(3)支付优先股股利
(4)提取任意公积金
(5)支付普通股股利
2.股利理论
MM股利无关论:在没有政府税收和完整市场条件下,股利政策对公司价值不产生影响
右派理论(股利相关论):主张高股利政策,或者主张政府强迫所有公司将税后净利作为股利全部发放,认为这样会使公司价值增加。
在手之鸟论 (经典理论):在股东心目中,股利是固定的收入,资本利得不如股利稳定。即资本利得的风险要高于股利收入的风险,而发放股利就能够消除投资者的这种不确定感。因此这种理论也称为不确定感消除理论
信号传递理论(现代理论)
该理论认为,股利给投资者传递了企业盈利能力的信号,从而股利对股票价格有一定的影响。如果企业对未来盈利能力看好,企业就会采用一定的方式把这个信息传递给投资者。
所得税差异理论(经典理论)
没有税收情况下,公司选择何种股利支付方式并不重要,但在有税差情况下,即当股利税率高于资本利得税率,投资者都会反对高股利政策,公司应该支付较低的股利,将剩余利润留存在公司内部,或者用于再投资,或者用于回购股票。
代理理论(现代股利理论)
股利政策有利于减缓管理者与股东之间的代理冲突,股利政策是协调股东与管理者之间代理关系的一种约束机制。高股利政策有利于降低代理成本,但同时也增加了外部融资成本
3.股利政策
剩余股利政策:根据企业的最佳资本结构测算出企业投资所需的权益性资本数额,先从企业的未分配利润中扣除所需增加的权益性资本,然后将剩余的未分配利润作为股利分配给股东
固定股利支付率政策
确定一个股利占利润的比例,长期按此比例支付股例的政策。
固定股利和稳定增长股利政策
在一段时间内保持不变,只有当企业认为未来盈利的增加足以使企业能够将股利维持在一个更高的水平时,企业才会提高每股股利的发放额
低正常股利加额外股利的政策
每年只支付固定的、数额较低的股利;在利润较多的年份,再根据实际情况向股东发放额外的股利,但额外股利并不固定,并不意味着永久性地提高了股利率。
影响股利政策的因素
(一)法律约束
1.资本保全约束。
2.利润分配程序约束。公司利润必须在弥补全部亏损后才可发放股利。
3.股票回购。我国规定:公司不得收购本公司股票,但下列情况除外:减资、合并、将股份奖励职工等
(二)债权人契约的约束
(三)股东因素
1、稳定收入。2、避税的要求。3、控制权。4、股东外部投资机会。
(四)公司内部因素
1. 盈利的稳定性。 2.资产流动性。即资产的变现能力如何。 3.融资能力。 4、现金流量。5、筹资成本等
4.股利支付程序与方式
股利支付的方式
现金股利、股票股利、资本公积转增股本、不分配四种单一方式。
同时还包括:现金股利加股票股利、现金股利加转增股本、现金股利加股票股利加转增股本等混合方式
股利发放程序:
1、股利宣告日:董事会宣布发放股利的日期;
2、股权登记日:宣布的股利只分配给在这一天拥有公司股票的股东;
3、除息日:在这一天,股票将不再含有股利,卖者仍可享受股利。
4、股利支付日:股利支付给登记在册股东的日期。
除息日对股价有影响 。投资者在除息日前买入的股票可以获得当期的股利,而在除息日或其之后买入的股票将不再获得当期的股利。实证研究表明,股价在除息日会下跌(一般股价在除息日最初的几分钟会下跌)。
股票股利发放前后,每位股东所持有股票数量的比例没有变化,所分配的收益没有变化,因此,随着股票总数的增加,必然是股票的市场价格下跌。
股票股利后市场价格=股票股利前市场价格/(1+股利分配率)
=10/(1+10%)=9.09
股票股利的影响:
①股票股利并未导致公司的现金流出;
②股东权益帐面价值总额未发生变化;
③股东的股权比例未发生变化;
④增加了流通在外的普通股股票数量;
⑤每股股票所代表的股东权益帐面价值下降;
⑥股票市场价格下跌。
⑦每股收益下降
股票股利的优缺点
1)优点:
股票股利的支付并不增加公司的现金流出量,使得现金留存在公司继续使用;
公司通过发放股票股利使公司的股票维持在某一有利于交易的范围内,以便于吸引小额投资者。
(2)缺点:
有些公司在财务困境时发放股票股利留存现金,因而股票股利传递的信息不明确,有时会让股东误解,对公司价值产生不利影响。
股票股利与增股的区别
发放股票股利不产生现金流动。而增股则是将新股东手中的资金变成权益,企业现金和权益,增加,资产负债表双方都发生变化。

