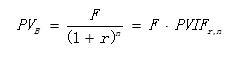
公司的销售净利率P不变
公司的资产周转率(S/A)不变。

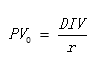
可持续增长率
销售净利率×(1-股利支付率)×权益乘数×资产周转率
= ————————————————————————————
1-销售净利率(1-股利支付率)×权益乘数×资产周转率
4. 了解本量利分析的前提假定,掌握本量利分析的基本原理
本量利分析假定:
(1)企业生产的各种产品都是有销路的,因而在一定时期内各种产品的产销量保持基本平衡;
(2)在一定时期内,业务量在相关范围内变动,于是固定成本总额、单位变动成本和销售单价保持稳定;
(3)产品成本是按变动成本法计算的。变动成本划分为变动生产成本(如直接材料、直接人工、变动制造费用)、变动销售费用、变动管理费用。固定成本可分为固定制造费用、固定销售费用、固定管理费用
n = S-V-F
=p.Q -v.Q -F
=Q(p-v)-F
式中: n—营业利润;
Q—产销量(假定销量等于产量);
p—单价;
v—单位变动成本;
V—变动成本总额;
S—销售收入;
F—固定成本总额。
5.熟练掌握保本点的预测、安全边际的计算、掌握利润预测中的敏感性分析
损益均衡点产销量 Q0 =F/S-V
边际贡献率(贡献毛益率)=边际贡献总额÷销售收入=单位边际贡献÷单价=1-变动成本率
变动成本率=变动成本÷销售收入=单位变动成本÷单价=1-边际贡献率
边际贡献总额=销售收入—变动成本=单位边际贡献×销量=销售收入×边际贡献率 =固定成本+营业利润
单位边际贡献=销售单价-单位变动成本=边际贡献总额÷销量=销售单价×边际贡献率
安全边际(量) = Q- Q0 式中:Q-实际(预计)产销量(额);
安全边际率 = Q-Q0 /Q Q0 -保本点产销量(额)
实现税前目标利润的销量=(目标利润+固定成本)/单位边际贡献
实现税前目标利润的销售额=(目标利润+固定成本)/边际贡献率
实现税后目标利润的销量=【税后目标利润÷(1—所得税率)+固定成本)】/单位边际贡献
综合贡献毛益率法:
综合贡献毛益率=∑(某产品边际贡献率×占总销售收入的比重)
企业综合的盈亏临界点的销售额 = 企业固定成本总额÷综合贡献毛益率
某产品盈亏临界点的销量=某产品盈亏临界点的销售额÷某产品单价
某产品的盈亏临界点的销售额= 企业综合的盈亏临界点的销售量×该产品的销售收入占总销售收入的比重
利润的敏感性分析: 分析有关因素的变动来确定它们对企业目标利润的影响程度的方法。
利润变动率(%)
敏感系数 = __________________________-
某因素变动率(%)
第五讲 资本预算方法
1. 理解投资项目评价的基本原理
投资项目的报酬率超过资本成本时,企业的价值将增加;投资项目的报酬率小于资本成本时,企业的价值将减少。投资者要求的报酬率即资本成本,是评价项目能否为股东创造价值的标准。
2. 理解并掌握投资项目现金流量的预测原则和估算方法
关注现金流量而不是会计利润
关注增量现金流量,考虑机会成本,忽略沉没成本
关注税后现金流量
现金净流量(NCF)=现金流入量—现金流出量
现金流出量的内容
1) 建设投资
2)经营成本(或称付现成本): 付现成本=销货成本一折旧(摊销)等
3)流动资金投资(即净营运资金)
4)投资的机会成本 :净营运资金=流动资产—流动负债
5)各项税款
现金流入量的内容
1)营业现金流量:营业现金流量=销售收入一付现成本一所得税=税后利润+折旧
2)回收固定资产的残值收入或变现收入
3)回收流动资金(净营运资金)
或者:
初始现金流量的估计
- 固定资产投资支出,如设备买价、运费、安装费等。
- 净营运资本的增加量
- 机会成本
+ 原有固定资产的变价收入
- 其他费用如筹建费、职工培训费等
± 所得税效应,是指固定资产变价收入的税负损益,引起所得税多缴的部分为现金流出,形成节税的部分为现金流入。
=初始现金流量
经营现金流量估计
+ 营业收入
— 付现营业成本和费用;
— 税法确认的折旧等非付现成本和费用;
= 税前利润;
— 所得税;
= 税后营业净利润;
+ 税法确认的折旧等非付现成本和费用;
= 该期经营现金净流量。
经营现金净流量=营业收入-付现成本和费用-所得税
经营现金净流量=税后利润+折旧等非付现成本和费用
经营现金净流量=营业收入(1-税率)-付现成本和费用(1-税率)+折旧等非付现成本和费用×税率
如果存在通货膨胀:
经营现金流量=[税后收入-税后成本] ×(1+通货膨胀率)+折旧×税率
终结现金净流量的估计:
+末期营业净现金流量;
+新资产的预期最后残值;
+与出售资产相关的税费;
+净营运资本的回收;
=终结净现金流量。
3. 掌握各种资本预算评价方法及其运用
1)投资回收期法
缺点:回收期的一个主要缺点是无法考察回收期终止以后发生的现金流量。
2)会计收益率法 会计收益率=年平均净利润÷年平均投资额
净现值(NPV法)
优点:充分考虑了时间价值和项目有效期的全部现金流量,能够反映投资项目的收益;其取舍标准也最好地体现了公司价值最大化。
缺点:确定折现率比较困难;对经济寿命不等的项目,用净现值难以评估;对初始投资额不等的项目,仅用净现值难以评估其优劣;不能揭示方案本身可能达到的实际收益率。
3)内部收益率(内含报酬率)法
优点:①同NPV紧密相关,通常会得到相同的结论;②容易理解和沟通。
缺点:①在现金流量非常规的情况下,可能会导致多重结果;
②在对互斥项目进行比较时可能导致错误的决策。
4)盈利指数(PI)法(或称现值指数法、获利指数法)
盈利指数=现金流入量的现值/现金流出量的现值
IRR与NPV法要得出相同的结论必须满足下列两个重要条件:
② 项目的现金流量必须符合常规(即初始流量为负,其余均为正)。
②项目为独立项目(即项目接受与否的决策不会影响其他项目的决策)
否则,用IRR法会使人产生误解。此时,应以净现值法为准。
净现值法与获利指数法,对于互斥方案,项目规模不同时,这两种方法可能会得出相反的结论,以净现值法为准。
固定资产更新决策——差量分析法
固定资产更新决策——年均净现值法
例题课后题P116
第六讲: 证券投资决策
1. 了解债券投资的目的和程序
证券投资的目的
1、 闲置资金投资 2、满足未来的财务需求 3、获得对相关企业的控制权4、进行多元化投资,分散投资风险
5、满足季节性经营对现金的需求
证券投资的程序
1、选择合适的投资对象 2、选择投资时机 3、委托投资 4、证券交割与清算 5、办理过户
2. 掌握债券估价的方法及到期收益率(YTM)的确定方法
债券的估价—现值估价模型

P=C( P/A;r;n)+ F ( P/F;r;n)
零息债券的估价
如果零息债券在未来的n年后支付金额为F,而在这n年中市场利率为r,则该债券到期面值的现值为:

1、票面利率(非贴现法)
票面利率=每年的利息收入÷债券的面值
2、本期收益率(非贴现法)
本期收益率=每年的利息收入÷本期债券的市价
3、持有期收益率(非贴现法)
持有期收益率=(持有期利息收入+卖出价-购进价) ÷(购进价×持有期年数)
4.债券到期收益率(YTM):按当前市场价格购进债券后,一直持有该债券至到期日可获得的报酬率。
①试错法(常用)
试错法是指试验几个不同的收益率直到利用该收益率计算的债券价值等于债券的市场价值,此时的收益率即是我们要求的到期收益率。
② 近似法

式中:m—债券到期收益率;Pn—债券实际购买价格;p0—债券面值;r—票面年利率;n—还本期限。
3. 了解债券投资的风险
违约风险 利率风险 购买力风险 变现力风险 再投资风险
4.掌握普通股、优先股估价的方法
1、本期股息收益率
本期股息收益率=每股股息÷每股市价
2、持有期收益率
持有期收益率=【(每股股息+卖出价-购进价)÷购进价】×(365÷持有天数)
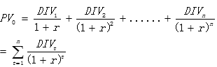
(1)股票估价一般模型公式——股票现值红利折现模型
公司普通股价格就等于未来所有股利的现值

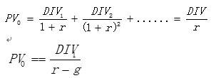
(2)股利固定型股票估价模型
如果股利固定,投资者长期持有而不出售:
(3)股利固定增长型股票估价模型:
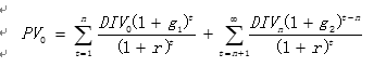
(4)股利变动增长型股票估价模型
又称分阶段增长模型,下面是一个二阶段增长模型:
g1—在时间n以前股利以g1的的速度增长g2—在时间n以后股利以g2的的速度增长


(5)市盈率分析模型

普通股每股价格=该股市盈率×该普通股每股收益
普通股每股价值=行业平均市盈率×该普通股每股收益
优先股的估价模型
由于优先股在固定的时点支付固定的股利,且无到期日,所以优先股的定价类同于永续年金现值
优先股的期望收益率


资产组合的风险与收益衡量
组合的期望收益是构成组合的各个证券的期望收益的简单加权平均
两种资产组合的风险---方差
![]()
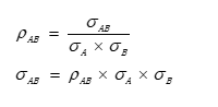
资产A与资产B收益率的协方差
通过下式可将协方差转化为相关系数

证券市场上风险与收益的关系
1、非系统性风险
由于某种特定原因对某特定资产收益率造成影响的可能性 可以通过有效的资产组合来消除
2、系统风险
由于某些因素给市场上所有资产都带来经济损失的可能性。
通过增加投资项目可以分散与减少投资风险,但所能消除的只是非系统风险,并不能消除系统风险。
在投资组合中资产数目刚开始增加时,其风险分散作用相当显著,但随着资产数目不断增加,这种风险分散作用逐渐减弱。由此可见,投资风险中重要的是系统风险,投资者所能期望得到补偿的也是这种系统风险,他们不能期望对非系统风险有任何超额补偿。
不可分散风险的程度通常用ß系数来计量: 一种证券的期望收益率变化随市场投资组合收益率变化的灵敏度
投资组合ß系数的计算,是单个证券ß系数的加权平均,权数为各种股票在证券组合中所占的比重。
资本资产定价模型(CAPM)
![]()
第七讲 长期融资
1. 了解企业融资渠道和方式;
企业融资的动机: 扩张性 偿债性 混合性
融资渠道:国家资本、银行信贷资本、非银行金融机构资本、其他企业资本、企业内部资本、国外资本及民间资本
融资方式:
长期资本融资方式:普通股、优先股、认股权证、留存收益、长期借款、长期债券、可转债、融资租赁等。
短期资本融资方式:短期借款、应付帐款、预收帐款、应收票据贴现等。
2. 掌握融资方式的类型;
3. 掌握普通股、长期借款、公司债券、融资租赁等长期融资方式的特点;
普通股筹资的优点
1.普通股融资没有固定的到期日。
2.普通股融资没有固定的股利负担。
3.普通股融资可提高公司信誉,有利于公司长期稳定发展。
普通股筹资的缺点
1.普通股的资本成本较高。
2.普通股融资增加了新股东,可能会分散公司的控制权。
长期借款筹资的优点
1.筹资速度快。
2.借款弹性较大。
3.借款成本较低。
4.有效的利用财务杠杆的作用。
长期借款筹资的缺点
1.保护性条款较多。
2.筹资数量有限。
3、筹资风险较高
债券筹资的优点
1.债券成本较低。
2.具有财务杠杆作用。
3.保证公司的控制权不被稀释。
4.有利于调整公司资本结构
债券筹资的缺点
1.增大公司的财务风险。
2.偿债压力大。
3.筹集资本的程度受限制,负债比率超过一定限度时,将导致举债成本急剧上升,进而影响企业的筹资能力。
4.限制性条款较多。
5.筹资数量有限。
租赁融资的优点
1、程序简单,可迅速获得所需资产
2、享受税收利益
3、租赁筹资限制条款较少。
4、可避免设备陈旧过时的风险。
5、侧重于对项目未来现金流的考察,对承租人历史资产负债情况要求不高。
6、财务风险较少。租赁公司可以根据每个企业的资金实力、销售季节性等情况,为企业定做灵活的还款安排,不用一次归还大量资金
租赁融资的缺点
1、租赁融资的成本高。
2、固定的租金是企业沉重的财务负担
优先股融资优点
1. 没有到期日,不用偿还本金;
2. 保持普通股股东对公司的控制权;
3. 增加权益资本基础;无须抵押和担保;
4. 股利支付既固定又有一定的灵活性。
优先股筹资缺点
1. 融资成本高;
2. 无抵税作用;
3. 可能成为较重的财务负担
可转换债券筹资优势表现为:
1.可降低资金成本。(利率低于普通债券;转股后可节省股票发行成本)
2.对投资者有双重吸引力,有利于企业筹资。
3.有利于调整资本结构。
可转换债券筹资不足表现为:
1.可转债持有人不愿转股时,发行公司将承担较大偿债压力。
2.可能损害原股东的利益。
3.转换债券转股后将失去利率较低的好处。
4. 熟悉各种长期融资方式的操作程序及法律规定。
企业筹集资金的原则
资金筹集的数量、时间与资金的使用相匹配原则;
降低资金成本原则;
优化资本结构原则;
。;‘
合法筹集资金原则。
私募股权融资的优缺点
1.优点
(1)发行费用低
(2)对不具有上市资格的公司来说,可以较快地募集资本。
(3)发行方式灵活
2.缺点
(1)资本成本较高
(2)限制条款较多,以便于加强对公司的监督。
普通股的融资体系
1、普通股按照发行次数分: 初次发行 再发行
一般来讲,初次发行为设立发行,设立发行分为发起设立和募集设立。发起设立是指由发起人认购公司应发行的全部股份而设立公司,社会公众不参加股份认购。募集设立是指由发起人认购公司应发股份的一部分,其余部分向社会公开发行而设立公司。
再发行主要是增发和配股。
2、按发行对象不同分: 公开发行 非公开发行
公开发行是指向不特定对象发行证券或累计超过200人的特定对象发行证券。首次公开发行(IPO)是指股份公司首次向社会公众公开招股的发行方式。非公开发行是指以特定投资者为发行对象的一种发行方式,如发起设立、定向增发、配股等。
公开发行股票:发行范围广、发行对象多,易于足额募集资本;股票的变现性强,流通性好;股票的公开发行还有助于提高发行公司的知名度和扩大其影响力。但这种发行方式也有不足,主要是手续繁杂,发行成本高。
非公开发行股票:融资速度快;发行成本低;条件灵活。(非公开发行的具体协议可以由资金供需双方共同商定,有较大的灵活性.)缺点是限制条件较多;资金成本较高;募集的资金有限 。
股票发行的监管制度:审批制 注册制 核准制:不仅要公开企业的真实情况,而且要符合有关机构规定的条件
保荐制
股份有限公司申请公开发行股票的条件
IPO条件
增资公开发行股票的条件
股票销售方式 :自销 承销(代销、包销) 包销又分为全额包销 余额包销
公司法:股份有限公司向社会公开发行新股,应当由依法设立的证券经营机构承销,签订承销协议。
同时《证券法》规定,向不特定对象公开发行的证券票面总值超过人民币5 000万元的,应当由承销团承销。承销团应当由主承销和参与承销的证券公司组成。
股票上市
首次公开发行股票的上市条件
股票上市的目的(有利影响
1、改善公司的财务状况。
2、提高公司股票的流动性和变现能力,便于投资者认购交易。
3、使公司股权社会化,分散风险,防止股权过于集中。
4、提高公司知名度,吸引更多顾客。
5、便于确定公司价值。
6、利用股票收购其他公司(出让本公司股票,不付现金对其他企业收购)
股票上市的缺点
1、公司将负担较高的上市费用和信息报导成本。
2、使公司失去隐私权,可能暴露公司的商业秘密。
3、股价有时会歪曲公司的实际情况,丑化公司公司声誉。
4、可能会分散公司的控制权。
长期借款的借款程序:企业申请 银行审批 签订合同(基本条款、限制条款)取得贷款 归还贷款
限制条款:①一般性限制条款(最常见) ②例行性限制条款(次之)③特殊性限制条款(较少)
债券的偿还方式:偿债基金 赎回条款 债券调换 分批偿还债券 转换成普通股
债券信用等级标准
1、穆迪投资者服务公司标准
2、标准普尔投资者服务公司标准
融资租赁的特点
1、它一般涉及三方当事人:出租人、承租人和供应商。
2、签订两个或两个以上的合同:即融资租赁合同、买卖合同、担保合同等。
3、租赁物件和供货商是由承租人选定的。
4、出租人不承担租赁物的瑕疵责任。
5、出租人可在一次租期内完全收回投资并盈利。
6、融资租赁的标的物是特定设备,承租人也是特定的,因此租赁合同一般情况下不能中途解约。
7、租赁期满后,承租人一般对设备有留购、续租和退租三种选择(融资租赁交易中,承租人对租赁物几乎都要留购)。
融资租赁的具体方法:1、直接租赁2、售后租回 3、杠杆租赁 4、转租赁5、委托租赁
可转换债券
1、减轻利息负担,获取低成本资金。
2、有利于长远发展和效益提高
3、投资者可获取更有保障的效益

