中央民族大学
2017年经济学院期末考试试题
考试科目:经济学
试题编号:812
一、名词解释题(每题5分,共40分)
1、机会成本
2、价格歧视
3、帕累托最优状态
4、级差地租
5、社会资本
6、公共物品
7、自动稳定的财政政策
8、8. 边际收益递减规律
二、简答题(每题10分,共50分)
1、如果生产函数是不变规模报酬的生产函数,请阐述企业长期平均成本曲线的特点。
2、国家垄断资本主义的形式及实质。
3、固定资本和流动资本的划分根据及其区别。
4、试述商业信用与银行信用各有哪些特点?
5、请简述理性预期学派
三、论述题(60分,每题20分)
1、请论述斯威齐模型
2、试分析决定经济发展的因素。
3、怎样理解社会必要劳动时间的两种含义及其相互关系?
中央民族大学
2017年经济学院期末考试试题
考试科目:经济学
试题编号:812
一、名词解释题(40分,每题5分)
1. 机会成本:
在两种以上可供选择的事情中,选择一种事情所放弃的其他事情中的最高收益。或:生产者放弃的使用相同的生产资源在其他用途上所得到的最高收益。(5分)
2. 价格歧视:
当两种或者更多的相似产品出售的价格与其边际成本比率不同,则称这种情况为价格歧视(3分)。价格歧视的发生要有两个条件:市场力量和防止套利(2分)。
3. 帕累托最优状态:帕累托最优状态是指社会经济达到了这样一种状态,不可能在至少某一成员受益的同时,不使得其他成员受损(3分)。它主要用来论述经济的效率问题(2分)。
4. 级差地租:
(1)是与土地等级相联系的地租形式,它是农产品的个别生产价格低于社会生产价格的差额。(2分)
(2)级差地租由于形成条件的不同而分为两种形态,即级差地租I和级差地租II。级差地租I是由于土地肥沃程度和地理位置不同而产生的级差地租,级差地租II是由于在同一块土地上连续追加投资的资本生产率不同而产生的级差地租。级差地租I是级差地租II的基础。(3分)
5. 社会资本
(1)以社会分工和市场交换为条件,相互联系,相互依存,相互制约的全社会各单个资本的总和。(2分)
(2) 社会资本的构成具有广泛性和系统性。广泛性是指社会资本所包含的单个资本,不仅有投资在生产资料生产部门的资本,也有投在消费资料生产部门的资本;不仅有投在物质生产领域的资本,也有投在服务业的资本。系统性是指构成社会资本这个有机整体的各产业及产业内部各部门的资本投放都必须符合一定的客观比例;而且投在各部门和产业的资本,其各自运行也必须互相配合。(3分)
6. 公共物品:
与私人物品相对应,指私人不愿供给或供给不足的社会需要的产品或劳务。通常具有非排他性、非竞争性特征。这使得消费者试图成为免费搭车者,从而私人供给者不能得到供给该商品的所有成本,故公共物品时常由政府直接或间接提供供给。(5分)
7. 自动稳定的财政政策:
是指某些能够根据经济波动情况自动发生稳定作用的政策,它无需借助外力就可直接产生调控效果。财政政策的自动稳定性主要表现在两个方面,一是税收的自动稳定性,二是政府支出的自动稳定性。(5分)
8. 边际收益递减规律:又称边际报酬(产量)递减规律,指在技术水平不变的条件下,增加某种生产要素的投入,当增加到一定程度以后,增加一单位该要素所带来的产量增加量是递减的。(5分)
二、简答(50分,每题10分)
1. 如果生产函数是不变规模报酬的生产函数,请阐述企业长期平均成本曲线的特点。
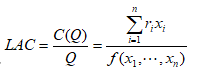
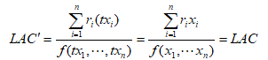
答:由于 
当要投入增加t倍后,

故长期平均成本曲线此时为一水平线。(6分)。必要论述4分
2.国家垄断资本主义的形式及实质。
答:国家垄断资本主义是国家和私人垄断资本相结合的一种垄断资本主义,是现代资本主义的特征(2分),每答一种形式,做相应解释。
3.固定资本和流动资本的划分根据及其区别。
(1)根据:资本在生产剩余价值中的作用不同,资本划分为可变资本与不变资本,根据资本周转的方式不同,资本划分为流动资本与固定资本(4分)
(2)区别:
① 二者的价值周转方式不同(2分)
② 二者的周转时间不同 (2分)
③ 二者的价值收回方式不同 (1分)
④ 二者的实物更新方法不同 (1分)
4.试述商业信用与银行信用各有哪些特点?
(1)商业信用的特点
①商业信用的对象是处在产业资本循环一定阶段上的商品资本(2分)
②商业信用的债权人和债务人都是职能资本家(1分)
③商业信用的动态与产业资本的动态从而与商品生产和流通的动态是一致的(2分)
(2)银行信用的特点:
①银行信用不是由职能资本家相互提供的信用,而是货币资本的所有者通过银行与职能资本家之间产生的信用关系(2分)
②银行信用的对象不是处于再生产过程中的商品资本,而是闲置的货币资本(1分)
③银行信用的动态与再生产周期的各个阶段上产业资本的动态可能出现不一致的状况(2分)
5.请简述理性预期学派。
答(1)理性预期学派:形成于上世纪70年代的重要学派。它引入市场出清、理性预期和自然率假说,论证了经济处于充分就业的可能性及其波动的原因,否定了凯恩斯主义政策,主张自由放任。其80年代中期以后发展成新古典宏观经济学派。(2)理性预期:即合理预期,是在有效地利用一切信息的前提下,对经济变量做出的在长期中平均说来最为准确的,而又与所使用的经济理论、模型相一致的预期。按此理论,行为的结果必然和预期的结果相一致。
三、论述(60分,每题20分)
1. 请论述斯威齐模型
答:斯威齐模型是美国经济学家保罗•斯威齐于20世纪30年代所建立。由于寡头厂商之间价格战的结果往往是两败俱伤,竞争的双方利润都趋向于零。所以在寡头垄断市场上,产品的价格往往比较稳定,厂商比较喜欢采用非价格竞争方式,即便采用价格战的方式也是非常慎重的。寡头厂商不愿轻易地变动产品价格,价格能够维持一种比较稳定的状态的情况,被称之为价格刚性。斯威齐模型就是解释在寡头垄断市场上出现的这种价格刚性现象。(9分)斯威齐首先假定:当一个寡头厂商降低价格的时候,其它厂商会跟着降价;当一个寡头厂商提高价格的时候,其它厂商会保持价格不变。做这样的假定的原因是,当一个厂商降低它的产品的价格的时候,其它厂商如果不跟着降价,那么其它厂商的市场份额就会减少,从而产量下降,利润下跌;而当一个寡头厂商提高它的产品价格的时候,如果其它厂商价格保持不变,那么提价的厂商的一部分市场份额将会自动被其它厂商瓜分,从而其它厂商的产量会上升,利润会增加。所以需求曲线称呈现弯折的形状,称为弯折的需求曲线。 (11分)
2.试分析决定经济发展的因素。
正确回答经济发展的概念(2分)
答出生产要素的投入并分析(8分)
答出社会劳动生产率的增长率并分析(5分),
其他因素(5分)
3.怎样理解社会必要劳动时间的两种含义及其相互关系?
(1) 社会必要劳动时间的定义:是在现有的正常的生产条件下,在社会平均的劳动熟练程度和劳动强度下,制造某种使用价值所需要的劳动时间。(5分)
(2) 社会必要劳动时间的第一种含义是在生产同种商品的不同生产者之间形成的,它涉及的是同种商品生产上的劳动耗费。(5分)
(3) 社会必要劳动时间的第二种含义是指在生产不同商品的生产者之间形成的社会必要劳动时间,它涉及的是社会总劳动时间在各种商品上的分配,其作用的是不同商品的价值量被社会接受的程度。不同商品的供求状况会直接影响或决定社会必要劳动时间的生产条件:如果供过于求,优等生产条件就会成为平均生产条件,引起商品价值下降,结果平均生产条件将向上移动;反之如果供不应求,……。可见供求关系对价值的影响是通过改变生产条件实现的,而决定价值的仍然是社会必要劳动时间。(5分)
(4 )社会必要劳动时间的两种含义具有相关性,共同决定商品的价值。如果说第一种含义是指价值的决定,那么第二种含义则是指价值的实现。不过两种含义在分析角度上又各有区别:第一种角度是从社会生产条件的角度来说明社会必要劳动时间的,第二种含义则是从社会需要的角度来说明的;第一种含义决定的是单位商品的价值,第二种含义决定的是部门总商品的价值;第一种含义涉及劳动消耗,第二种含义则涉及社会规模的使用价值。经济调节的目标就是,社会总劳动时间按社会必要劳动时间配置到各个部门。(5分)
中央民族大学2017年经济学院期末考试试题带详细答案
本站小编 免费考研网/2020-03-02
相关话题/中央民族大学 经济
中央民族大学2016年经济学院期末考试试题带详细答案
中央民族大学 2015年经济学院期末考试试题 考试科目:经济学 试题编号:812 一、名词解释题(每题5分,共40分) 1、产业结构 2、市场机制 3、公司治理结构 4、寻租 5、消费者剩余 6、奥肯定理 7、流动偏好 8、菲利普斯曲线 二、简答题(每题10分,共50分) 1、分析下列公式。 (1)Ⅰ(v+m )=Ⅱc ( ...专业课考研资料 本站小编 免费考研网 2020-03-02中央民族大学2015年经济学院期末考试试题带详细答案
中央民族大学 2015年经济学院期末考试试题 考试科目:经济学 试题编号:812 一、名词解释题(每题5分,共40分) 1、劳动资料 2、资本的循环 3、新型工业化道路 4、边际技术替代率 5、价格歧视 6、占优均衡 7、 资本边际效率 8、投资乘数 二、简答题(每题10分,共50分) 1、资本周转时间及其构成。 2、 ...专业课考研资料 本站小编 免费考研网 2020-03-02中央民族大学经济学院2013-2018年期中考试试题(含答案)
2013年中央民族大学经济学院期中考试试题 一、名词解释 1、经济矛盾 经济矛盾是人以其劳动在交往中有意识地满足需要的活动及其社会关系所体现的矛盾。经济矛盾的本质是经济关系和社会关系。其特点有:(1)经济矛盾的实在性和系统性;(2)主要经济矛盾和主要经济矛盾方面;(3)定性研究和定量研究的统一;(4)现在、历 ...专业课考研资料 本站小编 免费考研网 2020-03-02厦门大学19级418高分学姐806宏微观经济学经验分享
作者: LCSleilei 时间: 2020-2-29 07:56 标题: 19级418高分学姐806宏微观经验分享 19年考研总分418,经济学院第三名。针对专业课,进行一个经验分享! 首先参考课本是最重要的,我建议大家仔细看,贪多嚼不烂!一定要理解那些知识点,不要想偷懒,也不要追求进度,看书的过程中逻辑框架的构建对我来说是一个绝招,可以 ...专业课考研经验 本站小编 考研帮 2020-03-02哈尔滨工业大学哈工大应用经济学412分复习经验(专业课849)
我是19考研上岸的学长,初试412分考取哈工大应用经济学,排名国贸专业第一。我的各科成绩比较平均,70+,70+,130,130+,其中专业课考的849经济学原理。我把公共课及专业课的复习经验分享给学弟学妹,希望能够帮到你们: 一、政治 1、7~8月份,《肖秀荣精讲精练》《肖秀荣1000题》两本书结合使用,看一章精讲精练做一章 ...专业课考研经验 本站小编 免费考研网 2020-03-022019四川大学经济学院902初试复试第一经验贴
作者: 如果同行 时间: 2020-2-29 10:49 标题: 2019川大经济学院902初试复试第一经验贴,希望对大家有所帮助 过了复试以后一直在等拟录取名单,觉得自己的面试发挥的不好,但结果实在令人惊喜啊。在准备初试的时候就决定如果自己过了就一定要写一篇最强经验帖,因此在拟录取的第三天,在处理完一些事以后我开始了这篇经 ...考研复试经验 本站小编 免费考研网 2020-03-02中央财经大学经济学复试经验
由于中财经不是自主划线的院校。因此,它几乎每年复试的时间都较晚。从初试成绩下发到复试,这中间有一段较长的时间可以用来准备复习。大家一定要利用好这段时间,充分准备,尤其是在专业相关书籍资料上多下点功夫。除了专业课指定的参考书以外,也要适当地向外拓展复习资料的范围,例如导师最近研究的学术方向、经济学类的 ...考研复试经验 本站小编 免费考研网 2020-03-02哈尔滨工业大学哈工大经济学原理849及公共课复习经验分享
我是19考研上岸的学长,初试412分考取哈工大应用经济学,排名国贸专业第一。我的各科成绩比较平均,70+,70+,130,130+,其中专业课考的849经济学原理。我把公共课及专业课的复习经验分享给学弟学妹,希望能够帮到你们: 一、政治 1、7~8月份,《肖秀荣精讲精练》《肖秀荣1000题》两本书结合使用,看一章精讲精练做一章 ...专业课考研经验 本站小编 免费考研网 2020-03-02中南财经政法大学中南财805经济学高分分享
首先大概说一下最近很多同学问的一些相似的专业课问题。①考这个学校难吗?这个真无法确定回答呢,因为每个人看到都不同,而且难不难也看你的哪个学校想比较了,你可以想想自己为什么考虑这个学校,再考虑自己愿意为自己的目标付出多少,还是那句话,天道酬勤。②现在需要开始准备了吗?我只想说永远没有早不早的说话,你不 ...专业课考研经验 本站小编 免费考研网 2020-03-022020年厦门大学经济学院中文复试贴
由于全院一起面试,因此本专业的书其实并没有太大的必要去看,因为回答的问题和讨论方向极有可能和你的专业不相关。建议阅读曼昆宏观的经济结论和一些名词,对微观当中的外部性、交易成本、一般均衡、公平与效率等较为万金油的名词记忆深刻一些,如此谈论其文章来是能够显示自己的专业素养的。复试是使用的词语一定 ...考研复试经验 本站小编 免费考研网 2020-03-02学习笔记徐高宏观经济学第1讲,第2讲,第3讲
专业课考研资料 本站小编 免费考研网 2020-02-292011-2015年中国人民大学当代中国政治与经济考博真题
中国人民大学公共管理学考博真题 当代中国政治与经济 2011年 试论中国特色的社会主义的政治文明 论我国经济发展方式的转变 怎样理解我国正处于发展的战略机遇期 试论如何缩小收入分配差距 2012年 论中国特色社会主义制度的内涵及特点 论扩大内需的重要性及有效途径 论社会主义核心 ...考博 本站小编 免费考研网 2020-02-29尹伯成《宏观经济学简明教程》课后习题详解
简释下列概念: 稀缺、自由物品、经济物品、生产可能性边界、自给经济、计划经济、市场经济、混合经济、微观经济学、宏观经济学、实证经济学、规范经济学、内生变量、外生变量、存量、流量、局部均衡、一般均衡。 答:(1)稀缺 稀缺是指在给定的时间内,相对于人的需求而言,经济资源的供给总是不足的。人类消费各 ...专业课考研资料 本站小编 免费考研网 2020-02-28南京大学经济学院2019考博真题
宏观: 1. 拉姆塞模型资本积累有没有可能岀现动 态无效率? 2. 货币政策目标之一是稳定物价,然而有 时却岀现通货膨胀,请从政府政策的动态 不一致解释? 3. 资本增强的索罗模型,推导平衡增长路 径产出丫的增长率? 微观: 1. 常替代弹性生产函数,求条件要素需求 函数和成本函数? 2. 给定市场总需求 ...考博 本站小编 免费考研网 2020-02-282018年中国人民大学博士经济学综合与金融学综合试题
2018年 经济学。论述题4道,每道25分。 1.简要介绍寡头共谋现象,利用博弈论解释共谋的不稳定性。 2.外部性(外部影响)为什么会导致资源配置失当。 3.财政挤出效应及其影响。 4.评述新古典宏观经济学的主要思想和政策含义。 金融学。论述题6选1,其中1和2必选一个,每题25分。 1.(1)MM提出的股利政策不影响公司 ...考博 本站小编 免费考研网 2020-02-28
