简释下列概念:
稀缺、自由物品、经济物品、生产可能性边界、自给经济、计划经济、市场经济、混合经济、微观经济学、宏观经济学、实证经济学、规范经济学、内生变量、外生变量、存量、流量、局部均衡、一般均衡。
答:(1)稀缺
稀缺是指在给定的时间内,相对于人的需求而言,经济资源的供给总是不足的。人类消费各种物品的欲望是无限的,而用来满足人类欲望的经济物品却是有限的。相对于人类的无穷欲望而言,经济物品或生产这些经济物品所需要的资源总是不足的。正因为稀缺性的客观存在,就存在着资源有限和人类欲望及需求无限之间的矛盾。这样,就导致经济学家们从经济学角度来研究使用有限的资源来生产什么、如何生产和为谁生产的问题。经济学研究的问题和经济物品都是以稀缺性为前提的。
从稀缺性出发,西方经济学一般认为,经济学的一个重要研究任务就是:“研究人们如何进行抉择,以便使用稀缺的或有限的生产性资源(土地、劳动、资本品、技术知识)来生产各种商品并把它们分配给不同的社会成员消费。”同时,对稀缺资源应从动态的观点来认识。历史上,许多资源曾经被视为自由取用的资源,如空气、水,随着社会的进步,科技的发展,特别是人口的增加,人类需要的不断提高,也变得越来越稀缺。
(2)自由物品
自由物品是指人类无需通过努力就能自由取用的物品,如阳光、空气等,其数量是无限的。自由物品是相对于经济物品而言的。
(3)经济物品
经济物品即稀缺物品或供给有限的物品,是指人们不能自由取用的,为获取它必须付出某种代价的物品。经济物品在人类社会中是最重要的,但它的数量是有限的。
(4)生产可能性边界
生产可能性边界是指社会使用既定生产资源所能生产的各种产品的最大数量组合。也就是说,生产可能性边界表示在技术知识和可投入品数量既定的条件下,一个经济体所能得到的最大产量,同时也可以代表可供社会利用的物品和劳务的不同组合。生产可能性边界反映了资源稀缺性的特征。
(5)自给经济
自给经济是指自己消费本身生产的大部分物品,只有少数商品用来交换。如在原始社会中,人们消费本身生产的大部分物品。
(6)计划经济
计划经济是指由政府做出有关生产和分配的所有重大决策,即政府通过资源所有权和实施经济政策的权力来解决基本经济问题的经济制度。计划经济的基本特征是生产资料归政府所有,经济的管理实际上像一个单一的大公司。在这种体制下,用计划来解决资源配置和利用问题。产品的数量、品种、价格、消费和投资的比例、投资的方向、就业及工资水平及经济增长速度等等均由中央当局的指令性计划来决定。生产的产品也由国家统一分配。这种体制从理论上也许可以证明,资源能够达到最优配置和有效利用。但实践证明,这种体制不能解决资源配置问题,效率较低。
(7)市场经济
市场经济指以市场机制为基础来配置社会资源的一种运行方式和调节手段。市场经济的实质,是利用市场机制的作用进行社会资源的配置和生产力布局;以市场为中心环节来构建经济流程;用价格信号调节社会生产的产品种类和数量,协调供求关系;通过优胜劣汰的竞争机制,调节社会生产比例以促进社会经济持续发展。
市场经济有以下五个共同特征:市场经济是货币经济;市场经济是自主经济;市场经济是竞争经济;市场经济是法制经济;市场经济是开放性经济。
(8)混合经济
混合经济是指既带有市场成分也带有指令成分的经济制度,即是政府和私人部门按照一定的原则制定决策的经济制度。混合经济的特征是分散决策和集中决策相结合,也就是说,混合经济中决策单位的动力既可以是自身的经济利益,也可以是社会目标信息传递;既有价格自发的波动,又有计划指令的反馈。
在混合经济中,通过市场机制的自发作用,经济社会解决生产什么和生产多少、如何生产和为谁生产的基本问题,在市场机制出现错误时,则通过政府干预来促进资源利用的效率、增进社会公平和维持经济稳定增长。
(9)微观经济学
微观经济学是以单个经济主体(作为消费者的单个家庭或个人,作为生产者的单个厂商或企业,以及单个产品或生产要素市场)为研究对象,研究单个经济主体面对既定的资源约束时如何进行选择的学科。微观经济学的核心内容是论证亚当·斯密的“看不见的手”原理。微观经济学采用个体分析法,个体是指与单个经济单位的经济行为相适应的经济变量,如单个生产者的产量、成本、利润,某一商品的需求量、供给量、效用和价格等。微观经济学在分析这些经济变量之间的关系时,假设总量固定不变,故又被称为个体经济学。微观经济学的理论内容主要包括:消费理论或需求理论、厂商理论、市场理论、要素价格或分配理论、一般均衡理论和福利经济理论等。由于这些理论均涉及市场经济和价格机制的作用,因而微观经济学又被称为市场经济学。
(10)宏观经济学
相对于“微观经济学”,“宏观经济学”是一种现代的经济分析方法。它以国民经济总体作为考察对象,研究经济生活中有关总量的决定与变动,解释失业、通货膨胀、经济增长与波动、国际收支与汇率的决定与变动等经济中的宏观整体问题,所以又称之为总量经济学。宏观经济学的中心和基础是总供给-总需求模型。具体来说,宏观经济学主要包括总需求理论、总供给理论、失业与通货膨胀理论、经济周期与经济增长理论、开放经济理论及宏观经济政策等内容。
对宏观经济问题进行分析与研究的历史十分悠久,但现代意义上的宏观经济学直到20世纪30年代才得以形成和发展起来。宏观经济学诞生的标志是凯恩斯于1936年出版的《就业、利息和货币通论》。宏观经济学在20世纪30年代奠定基础,二战后逐步走向成熟并得到广泛应用,20世纪60年代后的“滞胀”问题使凯恩斯主义的统治地位受到严重挑战并形成了货币主义、供给学派和理性预期学派对立争论的局面,20世纪90年代新凯恩斯主义的形成又使国家干预思想占据主流。宏观经济学是当代发展最为迅猛,应用最为广泛,因而也是最为重要的经济学学科。
(11)实证经济学
实证经济学是指那些企图摆脱或排斥一切价值判断,只研究经济本身的内在规律,并根据这些规律来分析和预测经济行为效果的经济学。实证经济学用来描述经济现象“是什么”以及社会经济问题实际上是如何解决的,其方法旨在揭示有关经济变量之间的函数关系和因果关系。
(12)规范经济学
规范经济学是指那些依据一定的价值判断,提出某些分析和处理经济问题的标准,并以此树立起经济理论的前提,作为经济政策制定的依据的经济学。规范经济学研究的问题涉及伦理信条和价值判断,它研究经济活动“应该是什么”以及社会经济问题应该是怎样解决的,其方法通常要以一定的价值判断为基础,提出某些准则作为经济理论的前提和制定政策的依据,并考察如何才能符合这些准则。
(13)内生变量和外生变量
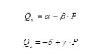
数学经济模型一般是用由一组变量所构成的方程式或方程组来表示的,变量是经济模型的基本要素。变量可以被区分为内生变量、外生变量和参数。在经济模型中,内生变量指该模型所要决定的变量。而外生变量指由模型以外的因素所决定的已知变量,它是模型据以建立的外部条件。内生变量可以在模型体系内得到说明,外生变量决定内生变量,外生变量本身不能在模型体系内得到说明。参数指数指通常不变的变量,也可以理解为可变的常数。参数通常是由模型以外的因素决定的,参数也可以被看成是外生变量。例如,在下面均衡价格决定模型中:

其中,和是模型所要决定其数值的变量,称为内生变量。、、和的数值是由模型的外部条件所决定的,被称为外生变量,又由于它们的数值不变,所以也被称为参数。外生变量、、和的值,将决定内生变量和的值。
(14)存量和流量
存量是指在一定时点上存在的变量的数值,如某一时点的资产和负债的状况或持有的资产和负债。存量具有时点的基本特征。流量是一定时期内发生的变量变动的数值,反映一定时期内经济价值的产生、转换、交换、转移或消失,它涉及机构单位的资产负债的增减的数量、构成或价值的变化。大多数流量是交易流量,如总消费;另一类是非交易流量或称其他流量,主要包括资产数量的非交易变化,如自然灾害等非生产性因素引起的资产变动量;以及市场价格变动所引起的价值变化,即重估价反映的资产、负债、净值变化的流量。流量具有时期特征,即流量的数值大小与时期的长短有关。有存量就一定有流量与之对应,而有流量并非一定有存量与之对应,如工资、利息、进口、出口等就没有与之相对应的存量。
(15)局部均衡
局部均衡是不考虑所分析的商品市场或经济体系内某一局部以外因素的影响时,这一局部所达到的均衡状态,是经济体系中单独一个消费者、一个商品市场或要素市场、一家厂商或一个行业的均衡状态。局部均衡分析即只考虑这个局部本身所包含的各因素的相互影响,相互作用,最终如何达到均衡状态。如在研究某商品市场的均衡时,就可假设其他各商品的供给、需求及价格不变,而只考虑该商品的价格和销售量如何由它本身的供给和需求两种相反力量的作用以达到均衡。局部均衡分析都是以“其他情况不变”的假设为基础的,所以它具有一定的局限性,但这并不影响它对很多问题研究的有效性。在一定的合理假设下,不但可以达到说明问题的目的,而且可使问题简单化、明了化。特别是当把所研究的变量限于两个经济因素时,可以借助数、表、图进行综合分析,达到较好的效果。马歇尔的价格论和分配论就是建立在局部均衡分析的基础上的。但在研究一些综合性问题时,局部均衡分析是不够的,此时,必须运用一般均衡分析方法。

