南京大学2012翻译硕士英语考研真题(5)

本站小编 免费考研网/2018-02-20


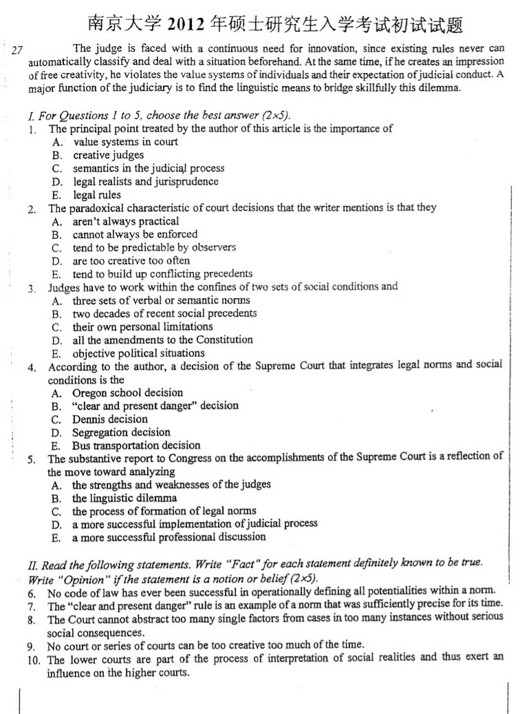
相关话题/翻译硕士英语

  • 领限时大额优惠券,享本站正版考研考试资料!
    大额优惠券
    优惠券领取后72小时内有效,10万种最新考研考试考证类电子打印资料任你选。涵盖全国500余所院校考研专业课、200多种职业资格考试、1100多种经典教材,产品类型包含电子书、题库、全套资料以及视频,无论您是考研复习、考证刷题,还是考前冲刺等,不同类型的产品可满足您学习上的不同需求。 ...
    本站小编 Free壹佰分学习网 2022-09-19
  • 2013年天津外国语大学211翻译硕士英语考研真题与答案
    本站小编 免费考研网 2018-01-23
  • 2011年天津外国语大学211翻译硕士英语考研真题与答案
    本站小编 免费考研网 2018-01-23
  • 2010年天津外国语大学211翻译硕士英语考研真题与答案
    本站小编 免费考研网 2018-01-23
  • 对外经济贸易大学2018年翻译硕士英语考研真题
    本站小编 免费考研网 2018-01-03
  • 2018年北京科技大学翻译硕士英语考研真题
    2018年北京科技大学翻译硕士英语考研真题凯程葛老师解析:2017年英语翻译硕士进入复试共21人,最高分417分,最低分367分日语翻译硕士进入复试9人,最高分392,最低分356分大家可以预估下自己的考研成绩,如果说能到到350以上就要开始准备复试,复试的综合表现决定了咱们考生是不是最终录取。2018年北京科技大学翻译硕士英语 ...
    本站小编 免费考研网 2018-01-03
  • 西安交通大学2018翻译硕士英语考研真题
    西安交通大学2018翻译硕士英语考研真题211翻译硕士英语(回忆版)1. Colze 完形填空20题,30分celebrity 名人2. 阅读2篇-选择10题,20分3. 阅读2篇-问答10题,20分4. 作文-材料:AI and educationTask 1:总结文章要点,100字(10分)Task 2:话题:Living in a world with AI ,300字(AI,artificialintelligence) (20分)(1)W ...
    本站小编 免费考研网 2018-01-03
  • 2018北京语言大学翻译硕士英语357翻译基础考研真题
    北京语言大学翻译硕士英语357翻译基础考研真题 357翻译基础 一、英汉词条互译 1. 我们的征途是星辰大海 2. 玩忽职守 3. 怼 4. 剁手党 5. 油腻中年男 6. 征收智商税 7. 拿走不谢 8. 套路 9. 不忘初心,方得始终 10. 五位一体 11. 海晏河清,朗朗乾坤 ...
    本站小编 免费考研网 2018-01-03
  • 2018大连理工大学翻译硕士英语考研真题
    大连理工大学2018翻译硕士英语考研真题 211翻译硕士英语 第一题是单选题,20个,词汇习题(参考凯程内部习题集) 第二题是改错题,2000年专八试题原题。 第三题阅读,专八水平,此部分今年题目较难 第四题作文,小作文是写邮件,大作文是讨论明星收入比重要人物高很多,是否公平 357英语翻译基础 第 ...
    本站小编 免费考研网 2018-01-03
  • 2018西安交通大学翻译硕士英语考研真题
    (3)随着Airhe 、Uber 等共享经济的出现及其创新的商业模式的成功,共享经济的价值已经得到广泛认可。在今年整体资本寒冬的局势下,共享经济的资本热度不断提高。共享单车汽车行业、IT 行业、风投行业纷纷闻风而动。我国每天出行8亿人次,汽车2亿人次,打车0.4亿人次(4)消化 ...
    本站小编 免费考研网 2018-01-03
  • 北京语言大学翻译硕士英语357翻译基础考研真题
    北京语言大学翻译硕士英语357翻译基础考研真题357翻译基础一、英汉词条互译1. 我们的征途是星辰大海2. 玩忽职守3. 怼4. 剁手党5. 油腻中年男6. 征收智商税7. 拿走不谢8. 套路9. 不忘初心,方得始终10. 五位一体11. 海晏河清,朗朗乾坤12. 钉钉子精神13. 量子计算14. 爱彼迎15. 扫码打赏16.airp ...
    本站小编 免费考研网 2018-01-03
  • 大连理工大学2018翻译硕士英语考研真题
    华尔街中央政治局第二. 应用文. 校园交通安全通知(300字)2. 奖学金审议会议纪要(300字)第三. 大作文,根据狐狸和刺猬各自智慧写一篇不少于800字的作文,自命题推荐参考书目:1-《新编汉英翻译教程》陈宏薇,李亚舟(主编)上海外语教育出版社2-《新编英汉翻译教程》孙致礼,上海外语教育出版社3-《布局谋篇mdas ...
    本站小编 免费考研网 2018-01-03
  • 2018年中国科学技术大学翻译硕士英语初试考试大纲
    2018年中国科学技术大学翻译硕士英语初试考试大纲已公布,请点击下载 ...
    本站小编 免费考研网 2018-01-02
  • 湖南大学2018年翻译硕士英语考研大纲
    全日制翻译硕士专业学位研究生入学考试《翻译硕士英语》考试大纲一、考试目的:《翻译硕士X语》作为全日制翻译硕士专业学位(MTI)入学考试的外国语考试,其目的是考察考生是否具备进行MTI学习所要求的外语水平。二、考试性质与范围:本考试是一种测试应试者单项和综合语言能力的尺度参照性水平考试。考试范围包括M ...
    本站小编 免费考研网 2018-01-02
  • 南京信息工程大学2018年翻译硕士英语考研初试大纲
    南京信息工程大学全日制翻译硕士(英语)专业学位研究生入学考试《翻译硕士英语》考试大纲科目代码:211科目名称:翻译硕士英语一、目标与基本要求1、目标《翻译硕士英语》作为全日制翻译硕士专业学位(MTI)入学考试的外国语考试,其目的是考察考生是否具备进行MTI学习所要求的英语水平。2、基本要求(1) 具 ...
    本站小编 免费考研网 2018-01-02
  • 沈阳建筑大学2018年翻译硕士英语考研初试大纲
    2018年硕士研究生考试初试翻译硕士英语科目考试大纲一、考查目标《翻译硕士英语》考试是一种测试应试者单项和综合语言能力的尺度参照性水平考试。其目的是考查考生的英语语言综合运用能力及对语言文化知识的了解和欣赏,确定考生是否具备进行MTI学习所要求的英语水平。二、考试形式与试卷结构(一)试卷满分及考试时 ...
    本站小编 免费考研网 2018-01-02