2018年福州大学812自动控制原理初试真题回忆1、已知结构图和特性方程,求传递函数参数。就是用梅森公式解,不难。 2、已知某二阶系统经过PD 修正后,给出求出c(t)=1-1.01e^(-1.5t)sin(2.6t+83.6) ,求超调量和调节时间。3、已知已知闭环多项式(没有给出具体的式子) ,试用劳斯判据分析已圆心为(-a ,j0)半径为a 的圆 ...
专业课考研资料 本站小编 辅仁网 2017-12-302018年华侨大学硕士研究生招生考试初试自命题科目考试大纲招生学院:信息科学与工程学院 招生专业:控制科学与工程科目名称:自动控制原理一、考试形式与试卷结构(一)试卷满分值及考试时间本试卷满分为150分,考试时间为180分钟。(二)答题方式答题方式为闭卷、笔试。试卷由试题和答题纸组成;答案必须写在答 ...
考研报考信息 本站小编 免费考研网 2017-09-17932自动控制原理及应用复习提纲一、总体要求要求考生熟练掌握经典控制理论的概念、工作原理、分析方法和基本应用,能够进行自动控制系统的校正与补偿设计;初步掌握现代控制论的状态空间方法涉及的基本概念与分析方法。二、考试内容1. 自动控制系统的模型与基本概念a) 反馈控制系统的基本概念b) 控制系统的数学 ...
考研报考信息 本站小编 免费考研网 2017-09-17《自动控制原理》硕士研究生招生初试考试大纲考试科目:843 自动控制原理一.总体要求本课程要求学生深刻领会控制系统的基本原理,掌握单输入单输出、线性定常连续控制系统的常用分析与综合方法。能够建立线性定常控制系统的数学模型,对简单的线性定常系统能够分别基于时域分析法、频率响应法和根轨迹法进行分析与综合 ...
考研报考信息 本站小编 免费考研网 2017-09-17深圳大学2018年硕士研究生入学考试大纲、参考书目(初试科目只提供考试大纲,复试科目只提供参考书目)命题学院/部门(盖章):机电与控制工程学院考试科目代码及名称:[940 ]自动控制原理二说明:可使用简易计算器。一、考试基本要求本考试大纲适用于报考深圳大学控制工程专业的专业学位硕士研究生入学考试。《 ...
考研报考信息 本站小编 免费考研网 2017-09-17深圳大学2018年硕士研究生入学考试大纲、参考书目(初试科目只提供考试大纲,复试科目只提供参考书目)命题学院/部门(盖章):机电与控制工程学院考试科目代码及名称:[905 ]自动控制原理一说明:可使用简易计算器。一、考试基本要求本考试大纲适用于报考深圳大学控制科学与工程专业的硕士研究生入学考试。《自 ...
考研报考信息 本站小编 免费考研网 2017-09-17- 专业课考研资料 本站小编 福瑞考研网 2017-05-03
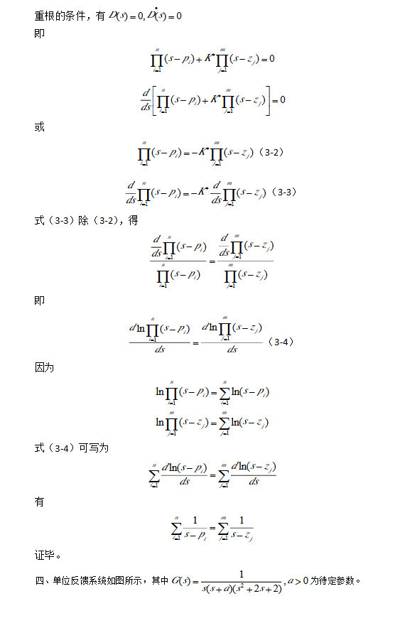
- 专业课考研资料 本站小编 福瑞考研网 2017-04-09
- 专业课考研资料 本站小编 福瑞考研网 2017-04-09
- 专业课考研资料 本站小编 福瑞考研网 2017-04-09
下载地址:http://free.100xuexi.com/Ebook/153081.html说明:本全套资料免费下载,共包括8种电子书、1个文件资料。使用全套资料密码激活后,全套资料里的所有电子书、所有题库均可使用。1.历年考研真题 [3D电子书]山东大学847自动控制原理(含现代控制理论)历年 ...
辅导考试考研资料 本站小编 福瑞考研网 2017-02-26下载地址:http://free.100xuexi.com/Ebook/153088.html说明:本全套资料免费下载,共包括8种电子书、1个文件资料。使用全套资料密码激活后,全套资料里的所有电子书、所有题库均可使用。1.历年考研真题 [3D电子书]山东大学908自动控制原理[专业硕士]历年考研真 ...
辅导考试考研资料 本站小编 福瑞考研网 2017-02-26下载地址:http://free.100xuexi.com/Ebook/88662.html说明:本全套资料免费下载,共包括6种电子书、4个文件资料。使用全套资料密码激活后,全套资料里的所有电子书、所有题库均可使用。1.历年考研真题及详解 [3D电子书]北京航空航天大学931自动控制原理综合历年考 ...
辅导考试考研资料 本站小编 福瑞考研网 2017-02-26下载地址:http://free.100xuexi.com/Ebook/140291.html说明:本全套资料免费下载,共包括8种电子书、3个文件资料。使用全套资料密码激活后,全套资料里的所有电子书、所有题库均可使用。1.历年考研真题 [3D电子书]南开大学计算机与控制工程学院814自动控制原理[ ...
辅导考试考研资料 本站小编 福瑞考研网 2017-02-14下载地址:http://free.100xuexi.com/Ebook/138751.html说明:本全套资料免费下载,共包括8种电子书、4个文件资料。使用全套资料密码激活后,全套资料里的所有电子书、所有题库均可使用。1.历年考研真题 [3D电子书]广西大学电气工程学院850自动控制原理(电气)历 ...
辅导考试考研资料 本站小编 福瑞考研网 2017-02-14