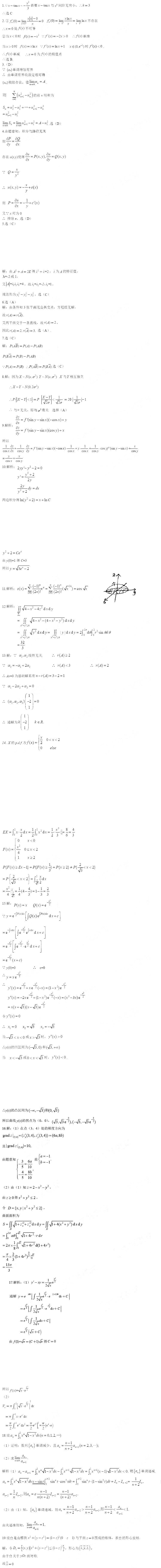
- 数学资料 本站小编 免费考研网 2018-12-31

还有九天就要考试了,没考过的同学都想看看答题卡长啥样,如何作答才能合理安排卷面空间呢?下面分享2019考研数学一答题卡样张,考生可参考了解,具体还以考场发布为准。
提示:以上样张仅供参考,2019年考研政治答题卡还以考场发布的为准。 ...
数学指导 本站小编 免费考研网 2018-12-12 ...
考试视频 本站小编 免费考研网 2018-12-02 ...
考试视频 本站小编 免费考研网 2018-12-02 ...
考试视频 本站小编 免费考研网 2018-11-28 ...
考试视频 本站小编 免费考研网 2018-11-23 ...
考试视频 本站小编 免费考研网 2018-11-232019考研数学一大纲已发布,今年的题型和分值部分有无变化?,下文为大家来梳理下2019考研数学一题型和分值分布: ...
数学大纲 本站小编 免费考研网 2018-09-16 2019年数学一考试大纲 考试科目:高等数学、线性代数、概率论与数理统计 考试形式和试卷结构 一、试卷满分及考试时间 试卷满分为150分,考试时间为180分钟。 二、答题方式 答题方式为闭卷、笔试。 三、试卷内容结构 高等数学 约56% 线性代数 约22% 概率论与数理统计 约22% 四、试 ...
数学大纲 本站小编 免费考研网 2018-09-15 在《2019考研数学一二三公共考点:重难点汇总(上)》一文中,跨考教育数学教研室田宏老师为大家把高等数学课本数一、数二、数三公共的每一个章节要掌握的重难点单独列出来,今天咱们继续。三、一元函数积分学理解原函数与不定积分的概念,掌握不定积分的基本性质和基本积分公式,掌握不定积分的换元积分法与分部积分法;了解 ...
数学指导 本站小编 免费考研网 2018-03-02准备2019考研的童鞋们,要抓紧行动起来了,早起的鸟儿有虫吃,趁开学季不是很忙,要充分利用起来了。下面是跨考教育数学教研室田宏老师把高等数学课本数一、数二、数三公共的每一个章节要掌握的重难点单独列出来,这样,同学们就知道考研数学考什么,重难点是啥,有目标就有行动力,现在就拿出课本和笔准备复习喽!一、函数、 ...
数学指导 本站小编 免费考研网 2018-03-02- 专业课考研经验 本站小编 FreeKaoyan 2018-01-22
- 专业课考研经验 本站小编 FreeKaoyan 2018-01-22
- 专业课考研经验 本站小编 FreeKaoyan 2018-01-22
- 专业课考研经验 本站小编 FreeKaoyan 2018-01-22