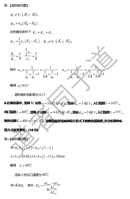
2017年大连理工大学843传热学考研试题答案解析(6)

本站小编 免费考研网/2020-01-15


相关话题/大连理工大学 传热