专业课考研资料 本站小编 免费考研网 2020-01-14今年日语比去年难,体现在翻译和阅读。31今年汉译日都出在了中级。日汉在初级共十个。阅读题第1个5个题,第2个10个题,一共30分。第1个阅读是关于电子表和钟表的差异,这个还好。第2篇是讲日本经济的有很多的固定俗语不好理解。选汉字和假名各20个,20分,很基础,都是课文的句子。语法题30个也比较简单。
汉译日:虽说都是 ...
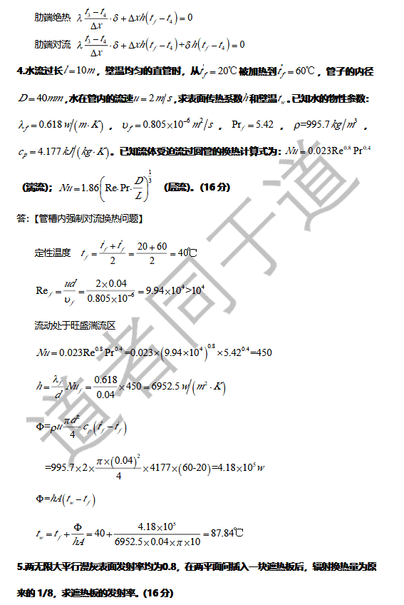
专业课考研资料 本站小编 免费考研网 2020-01-12
811是完整版的真题
617是记忆版,部分记不清了
希望能帮到大家,大家加油
...
专业课考研资料 本站小编 免费考研网 2020-01-10- 专业课考研资料 本站小编 免费考研网 2020-01-09
- 专业课考研资料 本站小编 免费考研网 2020-01-09
- 专业课考研资料 本站小编 免费考研网 2020-01-09
- 专业课考研资料 本站小编 免费考研网 2020-01-09

...
专业课考研经验 本站小编 免费考研网 2020-01-09作者: 秦时明月34 时间: 2019-12-24 17:28
标题: 2020大连理工大学英语语言文学真题回忆
先说政治
政治这次其实不是很难,但是我政治开始的比较晚,1000题连第一遍的一半都没有做完,完了对了下答案,大概选择题也只有30来分而已
我的二外是德语,德语我一直处于半放弃的佛系复习状态,德语客观来讲选择题并不很难 ...
专业课考研资料 本站小编 考研帮 2020-01-07
专业课考研资料 本站小编 免费考研网 2020-01-04作者: sunseazzz 时间: 2019-12-29 14:25
标题: 为21考研的同学分享一下大工化工学院考研备战经验
物理化学、有机化学、化工原理应该是考大工化院的同学们基本都会遇到的专业课,好的复习规划可以让你有条理的完成专业课的复习。我觉得不应该过度追求事半功倍的效果,而应该稳扎稳打,夯实知识点,专业课的复习应该提早 ...
专业课考研经验 本站小编 免费考研网 2019-12-30作者: 秋凉99 时间: 2019-12-26 20:35
标题: 876企业管理的综合面试
企业管理的综合面试怎么准备啊,除了考英语还考什么呀,现在一脸的迷茫啊[无言以对]作者: 皓月之华儿 时间: 2019-12-28 12:32
+1迷茫中,今年分数线会不会涨 ...
专业课考研经验 本站小编 免费考研网 2019-12-28- 专业课考研资料 本站小编 免费考研网 2019-12-25
- 专业课考研资料 本站小编 免费考研网 2019-12-25
- 专业课考研资料 本站小编 免费考研网 2019-12-25