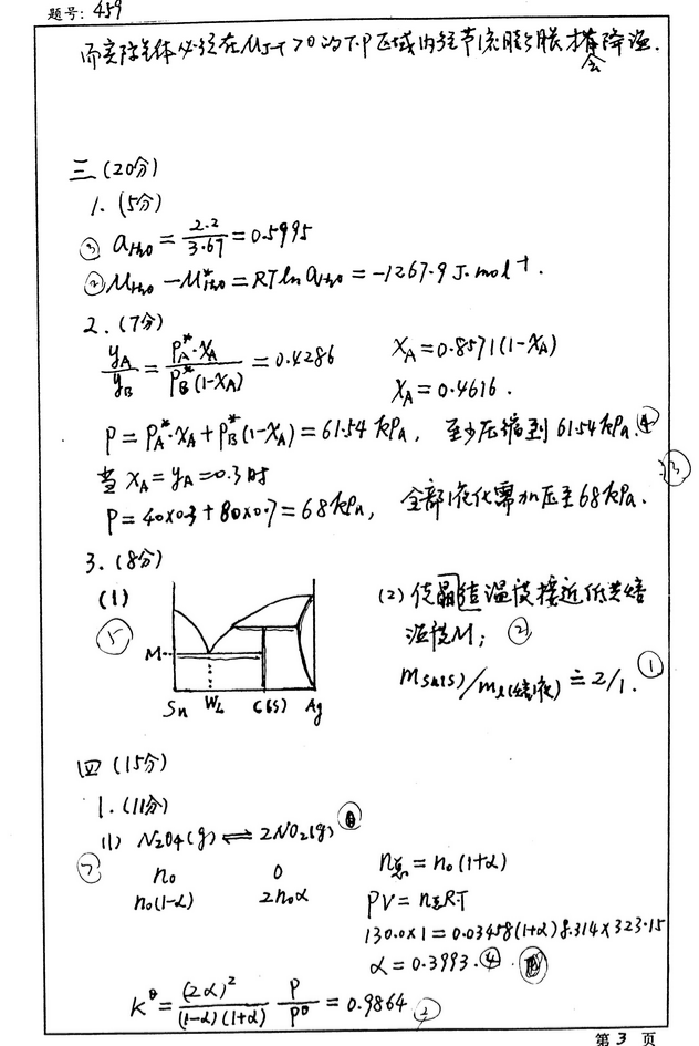
天津大学2003年《物理化学》考研真题答案(版本1)(3)

本站小编 免费考研网/2019-12-12


相关话题/天津大学

  • 领限时大额优惠券,享本站正版考研考试资料!
    大额优惠券
    优惠券领取后72小时内有效,10万种最新考研考试考证类电子打印资料任你选。涵盖全国500余所院校考研专业课、200多种职业资格考试、1100多种经典教材,产品类型包含电子书、题库、全套资料以及视频,无论您是考研复习、考证刷题,还是考前冲刺等,不同类型的产品可满足您学习上的不同需求。 ...
    本站小编 Free壹佰分学习网 2022-09-19
  • 天津大学2002年《物理化学》考研真题答案(版本1)
    本站小编 免费考研网 2019-12-12
  • 天津大学土木工程考研经验贴
    天津大学土木工程考研经验贴
    本经验贴作者为19年成功考上天大结构的莉莉学姐,感谢她给学弟学妹分享的经验,也欢迎更多考上小伙伴分享自己的经验~1.土木专业录取人数和分数线从近几年的录取人数及分数线可以看出: 专硕的录取人数比学硕多很多,因此报考专硕,压力会小很多; 初试的分数虽然压线进入复试,但复试也有可能逆袭成功,所以复试和初试 ...
    本站小编 小鹿学姐 2019-12-12
  • 土木考研 天津大学报考信息与报考建议
    土木考研 天津大学报考信息与报考建议
    1. 20172019年分数线2019年:学硕310分 专硕310分2018年:学硕348分 专硕321分2017年:学硕302分 专硕309分2. 报录比大约7比13. 2019年方面招生名额4. 专业课考试科目(818)结构力学5. 专业课考试分析初试初试考(818)结构力学,大纲列举的考点很全面且清晰,除了矩阵位移法和渐近法不考,其他的均考。要特别注意 ...
    本站小编 免费考研网 2019-12-12
  • 经验贴:看考研大神如何初试400+上岸天津大学结构力学经验
      我的初试成绩:专业课140+、数学二130+、英语二70+、政治70+、总分400+ 经验总结:就是做题!!!在大家复习到的知识点差不多的情况下,做题越多胜算越大! 帖子的科目顺序:数学二-英语二-政治-专业课,只想看专业课的可以直接往后面拉!最后是有关歧视跟复试的一些回应。  一、数学二:跟紧汤家凤老师 资 ...
    小何学姐 考研帮 2019-11-30
  • 天津大学827生物化学历年考研真题汇编
    目录封面内容简介目录1998年天津大学生物化学考研真题1999年天津大学生物化学考研真题2000年天津大学444生物化学(含生物化学实验)考研真题2001年天津大学444生物化学考研真题2002年天津大学444生物化学A考研真题2002年天津大学444生物化学考研真题(B卷)2003年天津大学444 ...
    本站小编 Free考研 2019-10-03
  • 天津大学化工学院861食品化学历年考研真题汇编
    目录封面内容简介目录2008年天津大学食品化学考研真题(回忆版)2010年天津大学食品化学考研真题内容简介本书收录了天津大学化工学院861食品化学近些年的考研真题,详细参考本书目录。所有真题均不提供答案,仅供参考。使用说明 ...
    本站小编 Free考研 2019-10-03
  • 天津大学管理与经济学部431金融学综合[专业硕士]历年考研真题汇编(含部分答案)
    目录封面内容简介目录2013年天津大学管理与经济学部431金融学综合[专业硕士]考研真题(回忆版)2013年天津大学管理与经济学部431金融学综合[专业硕士]考研真题(回忆版,含部分答案)2014年天津大学管理与经济学部431金融学综合[专业硕士]考研真题(回忆版)2014年天津大学管理与经济学部4 ...
    本站小编 Free考研 2019-10-03
  • 天津大学凝聚态专业考研经验分享
      一、英语 我是从四月份开始准备考研的,开始阶段一直在听朱伟老师的恋恋有词,和道长的作文课,朱伟的恋恋有词是真的喜欢,很厉害,真的能记住单词,一定要多读句子,分析句子,单词一定要熟。到考研最后阶段,你可能会觉得啥都不认识了,但是要记住前期努力之后的基础一直在,单词是基础,很重要,很重要,一定要结 ...
    q2415991320 考研加油站 2019-08-05
  • 2019年天津大学数学学院考研招生计划
    据天津大学研究生院消息,2019年天津大学数学学院考研招生计划已出,详情如下:学院严格按照学校下达给我院的2019年硕士生招生规模进行录取。2019年我院硕士研究生(不包含少民、退役士兵、单考等各类专项计划)招生计划数暂定为62人(含推免生20人)。以上为初分计划,学院有权视复试情况调整招生计划。 ...
    本站小编 免费考研网 2019-05-29
  • 2019年天津大学电气自动化与信息工程学院考研招生计划
    我院各专业的统考招生规模为:控制科学与工程(081100):控制理论与控制工程方向3人,检测技术方向6人,模式识别方向3人。电气工程(080800):电力系统及高压方向7人,电气控制方向7人。信息与通信工程(081000):20人。全日制控制工程(085210):控制理论与控制工程方向13人,检测技 ...
    本站小编 免费考研网 2019-05-29
  • 2019年天津大学微电子学院考研招生计划
    2019年我学院硕士研究生招生计划数约为176人,其中推免招收70人,统考招收106人左右,其中学术型硕士研究生9人左右,涉及电路与系统、微电子学与固体电子学、电磁场与微波技术三个专业;专业型硕士97人左右,涉及集成电路工程领域81人、电子与通信工程领域16人;非全日制专业型硕士研究生30人左右,涉 ...
    本站小编 免费考研网 2019-05-29
  • 2019年天津大学非全日制工程管理硕士(MEM)社会发展与时事政治论文要求
    1.考核专业本通知适用于公共管理(MPA)、工商管理(MBA)、工程管理(MEM)、会计硕士(MPAcc)四个专业考生。2.考核形式考生参加资格审查时需按要求提交已完成的纸质打印论文1篇。3.论文要求(1)选题范围:从以下提供的3个题目中任选其一进行论述,题目自拟。(2)字数要求:不少于2000字。 ...
    本站小编 免费考研网 2019-05-29
  • 2019年全国硕士研究生入学考试天津大学考点公告
    各位考生:为保证2019年全国硕士研究生招生考试顺利进行,现将我校考点注意事项公布如下。请各位考生仔细阅读:全国硕士研究生入学考试时间为2018年12月22日~23日,部分设计类科目延续到12月24日。天津大学考点(考点代码:1232)在天津大学卫津路校区和北洋园校区分别设置考场。每个天津大学考点考 ...
    本站小编 免费考研网 2019-05-29
  • 2019年天津大学建筑学院硕士研究生设计和绘画科目考试须知
    据天津大学研究生院消息,天津大学建筑学院2019年硕士研究生入学考试设计科目和绘画科目的用纸和工具要求已经公布,详情如下:一、请参加设计科目446、510、511、513、903及绘画科目823考试的考生自备绘图(画)纸及绘图(画)工具。二、自备图(画)纸及绘图(画)工具的具体要求如下:1.446城 ...
    本站小编 免费考研网 2019-05-29
  • 天津大学2019年硕士研究生学费奖助政策
    据天津大学研究生院消息,天津大学2019年硕士研究生学费奖助标准已经发布,详情如下: ...
    本站小编 免费考研网 2019-05-29