1. 2017—2019年分数线
2019年:学硕310分 专硕310分
2018年:学硕348分 专硕321分
2017年:学硕302分 专硕309分
2. 报录比
大约7比1
3. 2019年方面招生名额

4. 专业课考试科目
(818)结构力学
5. 专业课考试分析
初试
初试考(818)结构力学,大纲列举的考点很全面且清晰,除了矩阵位移法和渐近法不考,其他的均考。要特别注意剪力分配法、一次弯矩分配法以及力法与位移法的联合使用。自2015年题型改革之后难度逐年增大,学硕和专硕虽然都是考818结构力学,但天大每年的结构动力计算(最后一题)的命题上会有区分度,学硕比专硕难度大,甚至有时候会直接把学硕的第一问作为专硕的一道题。
复试
天大一向很重视复试,复试里面6分在总成绩里相当于初试的10分。天大每年公布初试成绩最晚,而复试时间又早,所以需要提前复习,特别是初试成绩不高的同学,因为这是一次逆袭的机会。天大复试总分200分,其中包括笔试,专业英语面试,专业知识面试。
笔试
总共65分,一般为65个选择题,考得比较细。涵盖内容为:混凝土结构设计原理、钢结构原理、土力学、基础工程、抗震设计原理、大跨度空间结构。
专业英语面试
总共15分,先用1分钟做简短的自我介绍,接着就是翻译专业英语文章,重在平时积累。
专业知识面试
总共120分,又分为专业知识面试90分和实验操作面试30分。平均每人8-9道题,电脑随机抽题,无人为操作,保证绝对公平,老师则根据回答情况给分。
6. 报考难度点评
天大招生总人数逐年增加,对想要报考天大的考生来说无疑是个好消息,其中专硕的录取人数会比学硕多很多,竞争相对较小。天大复试的比重比初试高,总的来说,难度较大。
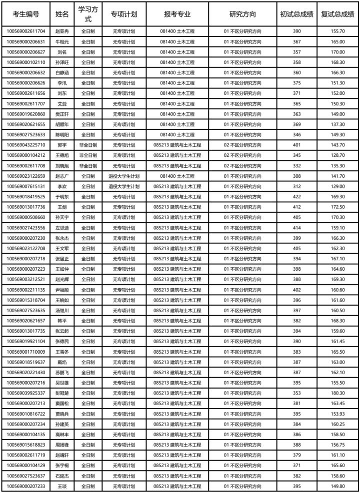
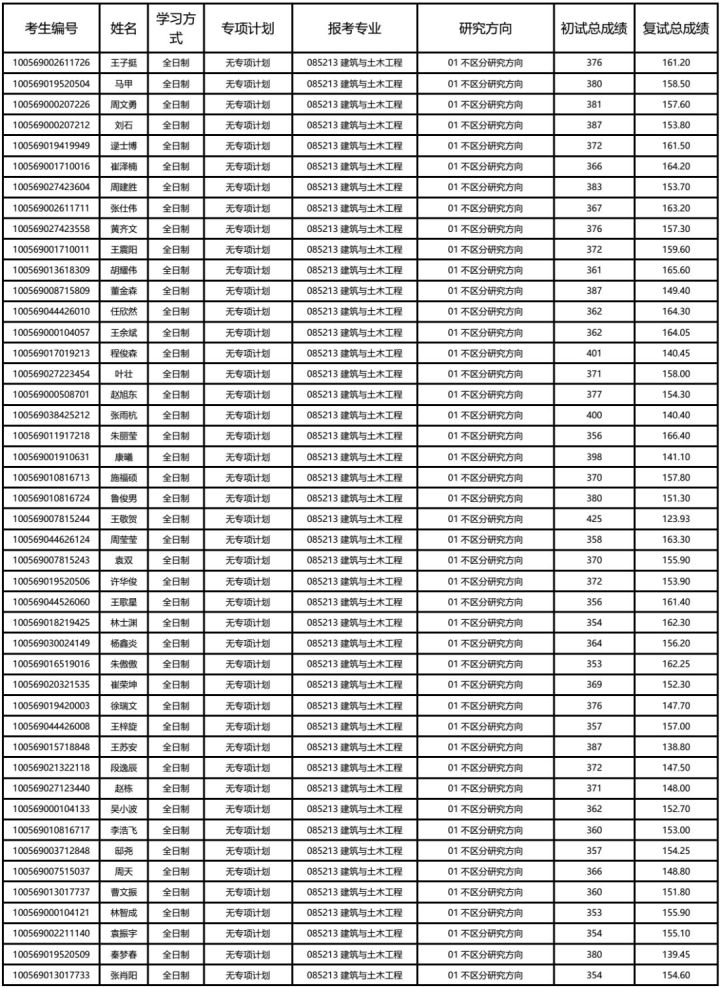
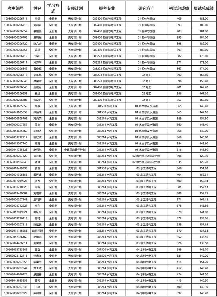
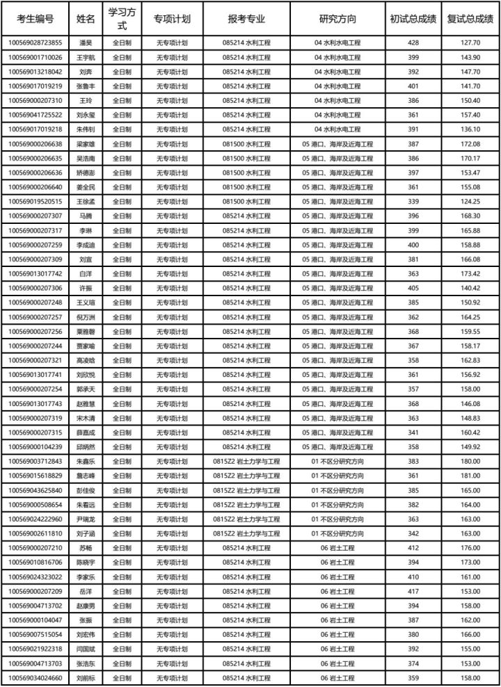
7. 2019年拟录取名单
温馨提示:点击可以查看大图~







