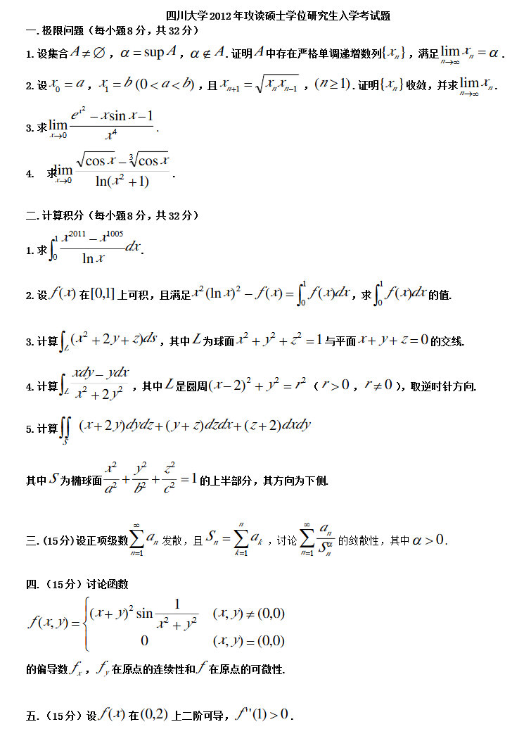
四川大学2000-2012年数学分析考研试题(15)

本站小编 免费考研网/2018-01-20


相关话题/数学分析

  • 领限时大额优惠券,享本站正版考研考试资料!
    大额优惠券
    优惠券领取后72小时内有效,10万种最新考研考试考证类电子打印资料任你选。涵盖全国500余所院校考研专业课、200多种职业资格考试、1100多种经典教材,产品类型包含电子书、题库、全套资料以及视频,无论您是考研复习、考证刷题,还是考前冲刺等,不同类型的产品可满足您学习上的不同需求。 ...
    本站小编 Free壹佰分学习网 2022-09-19
  • 2016年重庆大学数学分析考研真题带详细答案
    本站小编 免费考研网 2018-01-14
  • 2015年重庆大学数学分析考研真题带详细答案
    本站小编 免费考研网 2018-01-14
  • 2018年中国科学技术大学数学分析初试考试大纲
    2018年中国科学技术大学数学分析初试考试大纲已公布,请点击查看 ...
    本站小编 免费考研网 2018-01-02
  • 湖南大学2018年数学分析考研大纲
    《数学分析》考试大纲一、极限与连续内容:映射与函数;数列的极限、函数的极限;实数系的连续性、 连续函数、一致连续;欧氏空间中的点集、多元函数的极限与连续;函数和连续函数的各种性质。要求:理解集合、映射、函数、极限、连续、一致连续等概念;理解极限和连续的有关性质和定理;掌握求数列和函数极限的各种方法; ...
    本站小编 免费考研网 2018-01-02
  • 南京信息工程大学2018年数学分析考研初试大纲
    南京信息工程大学硕士研究生入学考试《数学分析》考试大纲科目代码:702科目名称:数学分析考试内容:一、实数集与函数1 实数集及其性质 2 确界定义与确界原理 3 函数概念 4有某些特性的函数(有界函数、单调函数、奇函数与偶函数、周期函数)二、数列极限1 数列极限概念 2 收敛数列的性质(唯一性、有界 ...
    本站小编 免费考研网 2018-01-02
  • 山东大学2018年数学分析考研大纲
    651-数学分析一、考查目标全国硕士研究生入学统一考试基础数学硕士专业学位《数学分析》考试是为高等院校和科研院所招收基础数学专业硕士生设置的具有选拔性质的考试科目。其目的是科学、公平、有效地测试考生是否具备攻读基础数学专业硕士所必须的基本素质、一般能力和培养潜能,以利用选拔具有发展潜力的优秀人才入学 ...
    本站小编 免费考研网 2018-01-02
  • 2018年天津工业大学硕士研究生数学分析考试大纲
    天津工业大学硕士研究生入学考试业务课程大纲课程编号:601 课程名称:数学分析一、考试的总体要求本课程要求学生能正确掌握数学分析的基本概念、基本理论和基本技巧,能为以后从事科学研究和继续学习奠定坚实的基础。二、考试内容:1、极限与连续性(40%)1) 极限的定义及其证明; 2) 函数连续性、一致连续 ...
    本站小编 免费考研网 2018-01-02
  • 上海大学2018年数学分析考研初试大纲
    考试科目:611数学分析一、 复习要求:要求学生掌握数学分析课程的基本概念、基本结论与算法,能够运用数学分析的理论求解和证明相关命题。二、主要复习内容:本课程考核内容包括实数的基本理论与极限、单变量微积分学,级数论,多变量微积分学、广义积分五大部分组成.实数的基本理论和极限理论部分包括变量与函数,极 ...
    本站小编 免费考研网 2017-09-17
  • 2018年华侨大学数学分析考研初试大纲
    2018年华侨大学硕士研究生招生考试初试自命题科目考试大纲招生学院:数学科学学院 招生专业:基础数学科目名称:数学分析一、考试形式与试卷结构(一)试卷满分值及考试时间本试卷满分为150分,考试时间为180分钟。(二)答题方式答题方式为闭卷、笔试。试卷由试题和答题纸组成;答案必须写在答题纸(由考点提供 ...
    本站小编 免费考研网 2017-09-17
  • 西安电子科技大学2018年数学分析考研大纲
    西安电子科技大学数学分析考研大纲已公布,点击下载。 ...
    本站小编 免费考研网 2017-09-17
  • 深圳大学2018年数学分析考研初试大纲
    深圳大学2018年硕士研究生入学考试大纲、参考书目(初试科目只提供考试大纲,复试科目只提供参考书目)命题学院/部门(盖章):数学与统计学院考试科目代码及名称:[716 ]数学分析说明:一、考试的基本要求《数学分析》考试大纲适用于报考深圳大学基础数学、应用数学专业硕士研究生的入学考试。本考试是为招收基 ...
    本站小编 免费考研网 2017-09-17
  • 中科院2016年数学分析考研试题参考解答
    本站小编 福瑞考研网 2017-04-25
  • 2016-2017西南交通大学数学分析复试考研试题
    本站小编 福瑞考研网 2017-04-25
  • 2018年西安电子科技大学数学与统计学院601数学分析考研全套资料
    下载地址:http://free.100xuexi.com/Ebook/149950.html说明:本全套资料免费下载,共包括15种电子书、4个文件资料。使用全套资料密码激活后,全套资料里的所有电子书、所有题库均可使用。1.历年考研真题汇编 [3D电子书]西安电子科技大学数学与统计学院601数学分 ...
    本站小编 福瑞考研网 2017-02-15
  • 2018年同济大学832数学分析网授精讲班【教材精讲+考研真题串讲】
    下载地址:http://free.100xuexi.com/Ebook/147338.html说明:本圣才课程免费下载,共包括2种3D电子书。使用圣才课程密码激活后,圣才课程里的所有视频、3D电子书(题库)及资料均可使用。【网授课程】1.华东师范大学数学系《数学分析》网授精讲班第1章 实数集与函数( ...
    本站小编 福瑞考研网 2017-02-15