1、汽车的动力性:指汽车在良好路面上直线行驶时由汽车受到的纵向外力决定的、所能达到的平均行驶速度。
2、汽车动力型的评价指标:最高车速、加速时间、最大爬坡度 3、最高车速:在水平良好的路面上汽车能达到的最高行驶车速
4、加速时间:表示汽车的加速能力(原地起步加速时间、超车加速时间)
5、原地起步加速时间 ...
专业课考研资料 本站小编 免费考研网 2015-05-18
10月25日,北京汽车集团有限公司党委书记、董事长,中欧EMBA校友徐和谊先生莅临中欧国际工商学院北京校园,在大师课堂系列活动中带来题为在创新中追赶,在转型中超越的主题演讲。他结合北汽集团的创新发展历程,畅谈了中国汽车产业的发展和即将面临的战略转型问题。北汽集团这几年是蒸蒸日上, ...
EMBA招生 本站小编 QQ考研 2015-05-16湖北汽车工业学院2015年硕士研究生招生简章已发布,详情如下: 湖北汽车工业学院是全国唯一以汽车命名的本科院校,被誉为汽车工程师的摇篮,坐落于风景秀丽的中国卡车之都湖北省十堰市,原中科院 院士孟少农任首任院长。学校为教育部本科教学水平评估优秀单位, ...
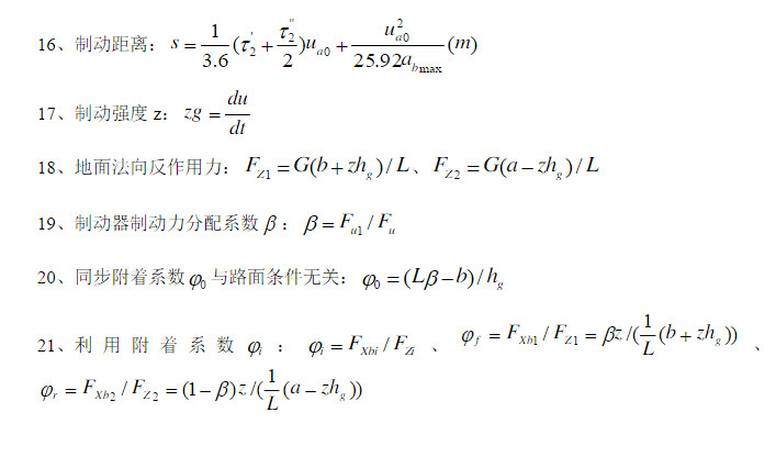
考研报考信息 本站小编 免费考研网 2015-04-20一、名词解释 (20分,每个4分)
1、应力蒙皮 2、座椅的静态特性 3、门锁的耐惯性力 4、车身设计的大多数人原则 ...
专业课考研资料 本站小编 免费考研网 2015-04-14第一章 汽车的动力性
1.汽车动力性指标:最高车速、加速时间、最大爬坡度
2.加速时间表示加速能力:原地起步加速时间和超车加速时间
3.驱动力:地面驱动轮的反作用力Ft=Tt/r=TtqigioT/r
4.驱动轮的转矩: Tt= TtqigioT
5.发动机转矩特性:节气门全开,发动机外特性曲线;节气门部分开启,部分负荷特性。
6.功率:Pe=Ttq n/9550
7.使用外特性曲线:带上全部设备时的发动机特性曲线
8.传动系功率损失:机械和液力损失
9.自由半径:车轮处于无载时的半径
10.静力半径Rs:汽车静止时,车轮中心至轮胎与道路接触面间的距离
11.滚动半径rr:车轮几何中心到速度瞬心的距离。
12.驱动力图:根据下列两个公式:Ua=0.377nr/igio Ft=Tt/ ...
专业课考研资料 本站小编 免费考研网 2015-03-10湖北汽车工业学院2014年硕士研究生正式调剂信息 现将2014年我校接收调剂的相关学科专业及要求公布如下: 一、调剂专业(限学术型硕士研究生) 材料加工工程、材料学、材料物理与化学 机械制造及其自动化、机械电子工程、机械设计及理论 二、调剂要求 1.初试成绩达到教育部统一规定的A类地区复 ...
考研调剂信息 本站小编 免费考研网 2014-03-26湖北汽院2014年硕士研究生招生调剂公告 2014年我校相关专业接收调剂考生,现将有关事项通知如下: 一、调剂专业及人数 二级学院 接收考生调剂专业 拟接收调剂人数 ...
考研调剂信息 本站小编 免费考研网 2014-03-08 [湖北汽车工业学院2010年硕士研究生调剂政策] ...
考研调剂信息 本站 免费考研网 2010-04-05 [青岛理工大学汽车与交通学院2010年公费调剂信息] ...
考研调剂信息 本站 免费考研网 2010-04-05 同济大学汽车学院2009年考研复试分数线 经我院研究生招生工作领导小组讨论研究,决定上调我院2009年硕士生参加复试分 ...
考研分数线 新浪考试 2009-03-25