一一 填空(共 15分,每格0.5分)
• 微生物从三羧酸循环中的 a 和 b 分别合成谷氨酸和天门冬氨酸,而丙氨酸、缬氨酸和亮氨酸均是从 c 合成的。
线毛常出现在革兰氏 a 菌上,性线毛仅 b 具有,它在接合时转移 c 。 DNA 由于含有 a ,故带有很高的负电荷,在原核生物细胞中,负电荷被 b 和 c 中和;在真核生物中,则被 d 所中和。 放线菌革兰氏染色呈 a ,菌体分为 b 和 c 。产生抗生素最多的放线菌是 d 属,庆大霉素是 e 属产生的。 在微生物蛋白中,研究最多的是 a 蛋白,其中以 b 菌和 c 菌最为常用。 巴斯德效应的本质是 a ,通氧使细胞中 ATP 上升, b 酶受 ATP 负调节,导致 c 的累积,它和 ATP 对 d 酶产生负调节,引起 e 浓度上升,表现为呼吸抑制发酵。 真核微生物的电子传递链存在于 a 和 b 上,原核生物的电子传递链存在于 c 上,电子传递链上最重要的电子传递体是 d 微生物能量代谢归根结蒂是 a 生成和利用问题,有氧呼吸作用以 b 作为最终电子受体,而发酵作用的最终电子转移给 c 。二 选择题(共 20分)
• 酵母菌的细胞壁主要含 。
a. 肽聚糖和甘露聚糖 b. 葡聚糖和脂多糖 c. 几丁质和纤维素 d. 葡聚糖和甘露聚糖
溶源菌遇到同一种噬菌体或与之密切相关的噬菌体时表现为a. 抗性 b. 免疫性 c. 再次溶源化 d. 裂解
3.在简单主动输送的离子载体中, 是动态载体
a. 缬霉素 b. 尼日利亚素 c. 短杆菌肽 d. 2,4 ---二磷酸
• 分批发酵动力学间于生长联动型和非生长联动型的发酵是 。
a. 乳酸发酵 b. 酒精发酵 c. 氨基酸发酵 d. 青霉素发酵
霉菌中的 分别是具有假根和足细胞a. 米根霉和桔青霉 b. 米根霉和黄曲霉 c. 高大毛霉和黑曲霉 d. 黑根霉和红曲霉
对于青霉菌,每摩尔葡萄糖通 EMP 和 TCA 环彻底氧化化共产生 摩尔 ATPa. 34 b. 36 c. 38 d. 39
谷氨酸棒杆菌合成天冬氨酸族氨基酸时,天冬氨酸激酶受赖氨酸和苏氨酸的 抑制a. 协同反馈 b. 累积反馈 c. 顺序反馈 d. 合作反馈
当 ,会发生基因重组,并使 F - 菌株变化 F + 菌株a. F - 菌株和F + 菌株接合 b. F - 菌株和Hfr菌株接合
c. F - 菌株和F'菌株接合 d. F - 菌株和F - 菌株接合
在化学消毒剂中,通过凝固蛋白作用杀菌的是a. 新洁尔灭 b. 乙醇 c. 甲醛 d. 拮抗
阿拉伯乳杆菌和粪链球菌之间的关系是 现象a. 中性同生 b. 竞争 c. 互惠同生 d. 拮抗
三 . 名词解释(共20分,每题4分)
• 生长因素
条件致死突变 局限性转导 有性生殖 反馈阻遏四 问答题(共 30分)
• 怎样筛选一株苏氨酸缺陷、高丝氨酸缺陷的赖氨酸产生双缺菌株?( 10分)
现有四支斜面,分别是大肠杆菌、北京棒杆菌、假单胞菌、枯草芽孢杆菌,试鉴别确定。( 8 分) a. 图示并简述五种典型的分支代谢途径调节。( 8 分)b. 在发酵工业中,如何实现代谢的人工控制?简单阐述。(4分)
五 推导题
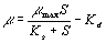
如图示,在一个体积为 V 的恒化器中,以流速 F 进行大肠杆菌连续培养,细胞生长动力学表述为
其中: K s ---反应速率常数,K d ---死亡速率常数
且菌体对底物得率系数为 Y x/s ,试求:
• 达到稳定状态时,细胞浓度 X和衡释率D的关系式
现生产率 P 定义为 P=DX ,当 D 为何值时, P 值达到最大