
复旦大学会计硕士(MPAcc)专业学位项目2017级复试录取细则及复试名单公示如下:
1、复试名单确认标准:
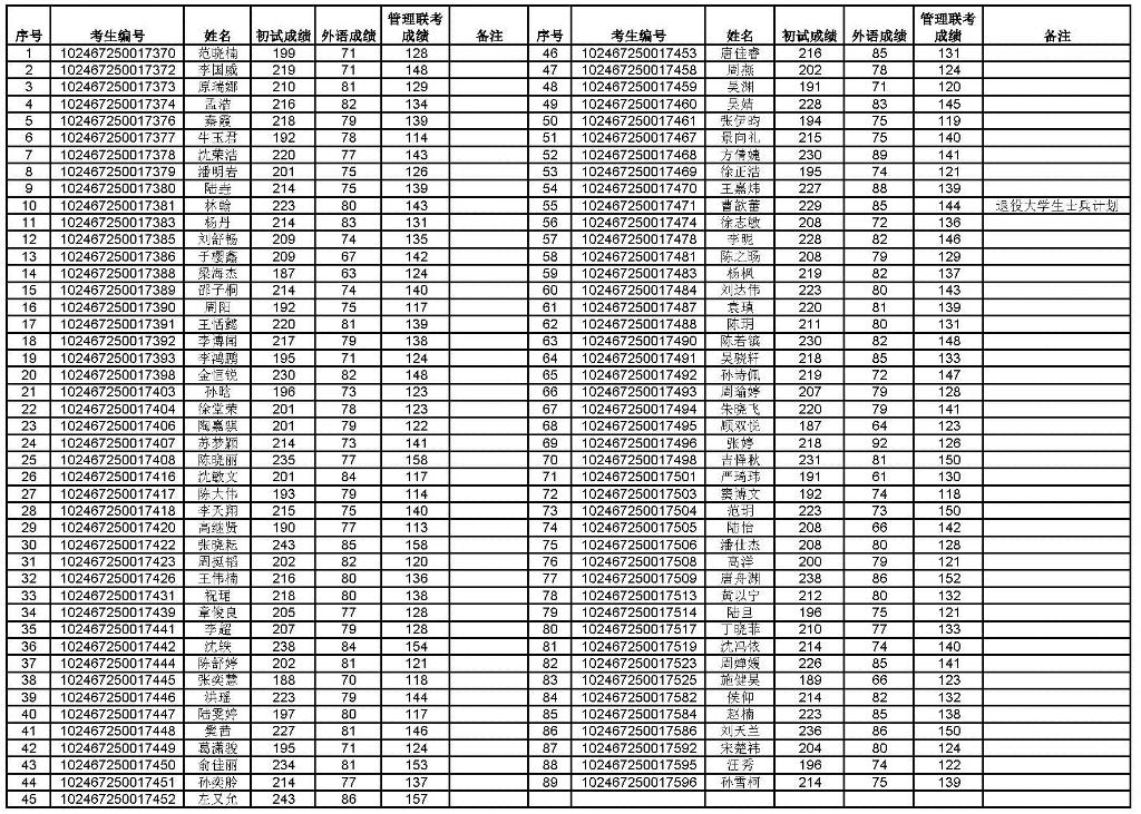
全国联考笔试总成绩185分以上(含185分),单科:管理类联考综合能力110分以上(含110分)、外语60分以上(含60分)的,且在2017年3月1日前完成复旦大学会计硕士(MPAcc)项目背景评审材料提交,可以进入复试。“少数民族骨干”、“对口支援”、“退役大学生士兵”等国家专项计划考生不在此列,以上三类考生以复旦大学研究生院发布的政策为准。符合上述条件的考生共计233名。
2、复试时间、地点:
复试时间:2017年3月18日,复试地点:复旦大学管理学院
3、复试形式:
个人面试(每位考生约20分钟,含专业面试,两名考官)、小组面试(小组案例讨论,每组约30分钟,含1分钟英文总结陈述,三名考官)、政治笔试(线上测试)及综合素质评估。
4、录取原则:
在面试合格、政治合格、资格审查合格的基础上,按照笔试成绩占50%,复试成绩占50%的比例计算总分,按总分进行排序录取。其中“面试合格”标准为个人及小组面试共5位面试官中提出“不予录取”建议的小于2人(不含2人)。
================================================================================================================
本次复试共分为三个场次,签到地点都为上海市杨浦区国顺路670号复旦大学管理学院史带楼403教室。复试名单按场次分组公示如下:
第一场:签到时间8:00-9:00;复试时间9:00-12:00

================================================================================================
第二场:签到时间12:00-13:00;复试时间13:00-17:00

================================================================================================
第三场:签到时间16:00-17:00;复试时间18:00-20:30(具体时间安排根据当天复试进度可能会有所调整,敬请谅解)

以上内容最终解释权归复旦大学会计硕士(MPAcc)项目所有,如有疑问请致电021-55664749/25011277咨询。
复旦大学会计硕士(MPAcc)项目
2017年3月15日
3月18日MPAcc复试(小组讨论和个人面试)
