2007年-全国MBA联考数学综合训练(六)

网络资源 免费考研网/2009-01-16

 
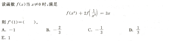
1.

A. B. C. D. E.

2.

A. B. C. D. E.

3.

A. B. C. D. E.

4.

A. B. C. D. E.

5.

A. B. C. D. E.

相关话题/

  • 领限时大额优惠券,享本站正版考研考试资料!
    大额优惠券
    优惠券领取后72小时内有效,10万种最新考研考试考证类电子打印资料任你选。涵盖全国500余所院校考研专业课、200多种职业资格考试、1100多种经典教材,产品类型包含电子书、题库、全套资料以及视频,无论您是考研复习、考证刷题,还是考前冲刺等,不同类型的产品可满足您学习上的不同需求。 ...
    本站小编 Free壹佰分学习网 2022-09-19