MBA2000数学复习笔记-重要习题(7)

网络资源 免费考研网/2009-01-16


   



1、试求点到平面的距离.


 解:设是平面上任意一点,问题等价于距离的最小值.


 


 约束条件为.


 由此设拉格朗日函数


  + 


 解方程组


 


 得唯一驻点 .


 所以,.#



2、设有二阶倒数,且求证.


 解:因为连续(因为有二阶倒数)


所以.


并且.






所以在定义域上为上凹.


,得


显然为其极小值点.



所以 ,从而.#



3、求.


解:=


= #



4、已知方程的两个根一个比1大,一个比1小,求 的取值范围.


解:设


处取极小值.


由函数性质,只要,就有两个符合给定条件的根.


即求


解之得 .#



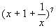
5、在的展开式中,常数项是多少?.


解:



所以,只有当为偶数,时,得常数项.


所以,=393.#



相关话题/

  • 领限时大额优惠券,享本站正版考研考试资料!
    大额优惠券
    优惠券领取后72小时内有效,10万种最新考研考试考证类电子打印资料任你选。涵盖全国500余所院校考研专业课、200多种职业资格考试、1100多种经典教材,产品类型包含电子书、题库、全套资料以及视频,无论您是考研复习、考证刷题,还是考前冲刺等,不同类型的产品可满足您学习上的不同需求。 ...
    本站小编 Free壹佰分学习网 2022-09-19