MBA2000数学复习笔记-重要习题(3)

网络资源 免费考研网/2009-01-16




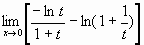
  1. .


    解:=


    = (注意应用等价无穷小)


    =


    =


    =1. #



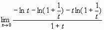
  2. 计算.


    解:令,则


    原式=


    =


    =


    =


    ==0. #



  3. .


    解: 令



    原式 = (洛必达法则)


    =


    =


    = . #



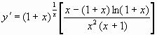
  4. 求连续函数,使满足.


    解:因为


    所以


    两边求导,得




    所以



    =


    =


    = #



  5. 设方程确定隐函数,求
.


解:令




所以


代入 时,


得到 .#



相关话题/

  • 领限时大额优惠券,享本站正版考研考试资料!
    大额优惠券
    优惠券领取后72小时内有效,10万种最新考研考试考证类电子打印资料任你选。涵盖全国500余所院校考研专业课、200多种职业资格考试、1100多种经典教材,产品类型包含电子书、题库、全套资料以及视频,无论您是考研复习、考证刷题,还是考前冲刺等,不同类型的产品可满足您学习上的不同需求。 ...
    本站小编 Free壹佰分学习网 2022-09-19