MBA数学复习笔记总结02

网络资源 免费考研网/2009-01-16

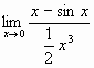
  • .


    解:=


    =


    =


    =

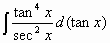
  • 计算.


    解:原式=


    =


    =


    = ()


    =


    =


    =. #



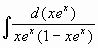
  • .


    解: 因


    故 =


    =


    =


    =. #



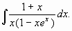
  • .


    解:令


    则原式化为



    =


    =+


    =


    =.#




    1. .


      解:令




      故,原式


      =


      =


      =


      =.#


    2. 相关话题/

      • 领限时大额优惠券,享本站正版考研考试资料!
        大额优惠券
        优惠券领取后72小时内有效,10万种最新考研考试考证类电子打印资料任你选。涵盖全国500余所院校考研专业课、200多种职业资格考试、1100多种经典教材,产品类型包含电子书、题库、全套资料以及视频,无论您是考研复习、考证刷题,还是考前冲刺等,不同类型的产品可满足您学习上的不同需求。 ...
        本站小编 Free壹佰分学习网 2022-09-19