MBA数学复习笔记习题(1)

网络资源 免费考研网/2009-01-16

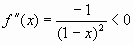
试判定曲线在其定义域内的凹凸性.


  • 解:由 ,得,义域为


    ,


    在其定义域内下凹.#



  • 求极限.


    解:原式=


    =


    =


    =


    = 0. #



  • 求极限.


    解: 令


    = =0


    ==1. #



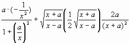
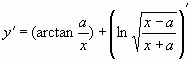
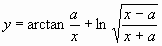
  • 求导数



      解:


      =


      =


      = #


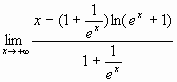
      5.求极限


      解: 令



      时,-



      =0


      =0.#


    1. 相关话题/

      • 领限时大额优惠券,享本站正版考研考试资料!
        大额优惠券
        优惠券领取后72小时内有效,10万种最新考研考试考证类电子打印资料任你选。涵盖全国500余所院校考研专业课、200多种职业资格考试、1100多种经典教材,产品类型包含电子书、题库、全套资料以及视频,无论您是考研复习、考证刷题,还是考前冲刺等,不同类型的产品可满足您学习上的不同需求。 ...
        本站小编 Free壹佰分学习网 2022-09-19