快速导航
考研新闻
统考公共课
统考专业课
考研指南经验
考研院校
专业硕士
专业课资料
考研电子书
考试考证
出国留学
Free考研考试
题库
故事
专题
APP
笔记
论坛
搜索
VIP
资料
首页
>
MBA工商管理
>
MBA工商管理资料
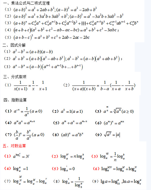
2017管理类联考数学公式大全(1)
本站小编 免费考研网/2016-06-21
管理类联考数学基础部分考察四部分内容:算术、代数、几何和数据分析,复习之初,数学科目还是要从基础公式入手,小编整理了管理类联考数学公式大全,大家收藏留用。
相关话题/
公式
领限时大额优惠券,享本站正版考研考试资料!
优惠券领取后72小时内有效,10万种最新考研考试考证类电子打印资料任你选。涵盖全国500余所院校考研专业课、200多种职业资格考试、1100多种经典教材,产品类型包含电子书、题库、全套资料以及视频,无论您是考研复习、考证刷题,还是考前冲刺等,不同类型的产品可满足您学习上的不同需求。 ...
考试优惠券
本站小编 Free壹佰分学习网 2022-09-19
2017管理类联考数学公式大全(2)
管理类联考数学基础部分考察四部分内容:算术、代数、几何和数据分析,复习之初,数学科目还是要从基础公式入手,小编整理了管理类联考数学公式大全,大家收藏留用。 ...
MBA工商管理资料
本站小编 免费考研网 2016-06-21
2017管理类联考数学公式大全(3)
管理类联考数学基础部分考察四部分内容:算术、代数、几何和数据分析,复习之初,数学科目还是要从基础公式入手,小编整理了管理类联考数学公式大全,大家收藏留用。 ...
MBA工商管理资料
本站小编 免费考研网 2016-06-21
2017管理类联考数学公式大全(4)
管理类联考数学基础部分考察四部分内容:算术、代数、几何和数据分析,复习之初,数学科目还是要从基础公式入手,小编整理了管理类联考数学公式大全,大家收藏留用。 ...
MBA工商管理资料
本站小编 免费考研网 2016-06-21
考查很隐晦却很重要的概率运算五大公式
概率论与数理统计在考研数学中占22%,约34分,在396经济联考中占14分,事件概率计算的五大公式是数一、数三,396考纲中都有要求的内容,所以比较基础也比较重要。今天,跨考教育数学教研室赵睿老师来和大家谈谈概率计算的五大公式。 五大公式包括减法公式、加法公式、乘法公式、全概率公式、贝叶斯公式 ...
数学指导
本站小编 中国研究生招生信息网 2016-03-01
【考研数学】公式大全(高数、线代、概率论应有尽有)
数学资料
本站小编 免费考研网 2015-12-27
考研顶级名师吐血编写-考研数学完美公式手册(完整打印版)
数学资料
本站小编 免费考研网 2015-12-20
考研数学之五大重要概率运算公式
概率论与数理统计在考研数学中占22%,约34分,在396经济联考中占14分,事件概率计算的五大公式是数一、数三,396考纲中都有要求的内容,所以比较基础也比较重要。今天,跨考教育数学教研室赵睿老师来和大家谈谈概率计算的五大公式。 五大公式包括减法公式、加法公式、乘法公式、全概率公式、贝叶斯公式。 1、 减法 ...
线性代数概率论
本站小编 新浪教育 2015-06-22
汽车理论第五版考试公式
1、汽车行驶方程式:dt du mGiuACGfFaDt 215.21。tF为驱动力、F为行驶阻力之和 2、滚动阻力WfFf(W:车轮负荷) 3、驱动力:r TFt t 。tT为作用于驱动轮上的转矩,r为车轮半径。TgtqtiiTT***0。tqT:发动机转矩。gi:变速器的传动比。0i:主减速器的传动比。T:传动系的机械效率 4、9550 *nTPtqe 、e TeTeTPP PPP ...
专业课考研资料
本站小编 免费考研网 2015-05-18
考研数学:高等数学泰勒公式全解读
...
高等数学
本站小编 免费考研网 2014-01-15
2014考研数学概率大题:偏重考查基本公式
考完数学走出考场,相信很多考生的感觉会是松了一口气。今年的试题难度相比去年保持稳定,出题的方向和题目的类型也都完全在预料 ...
线性代数概率论
跨考教育 2014-01-15