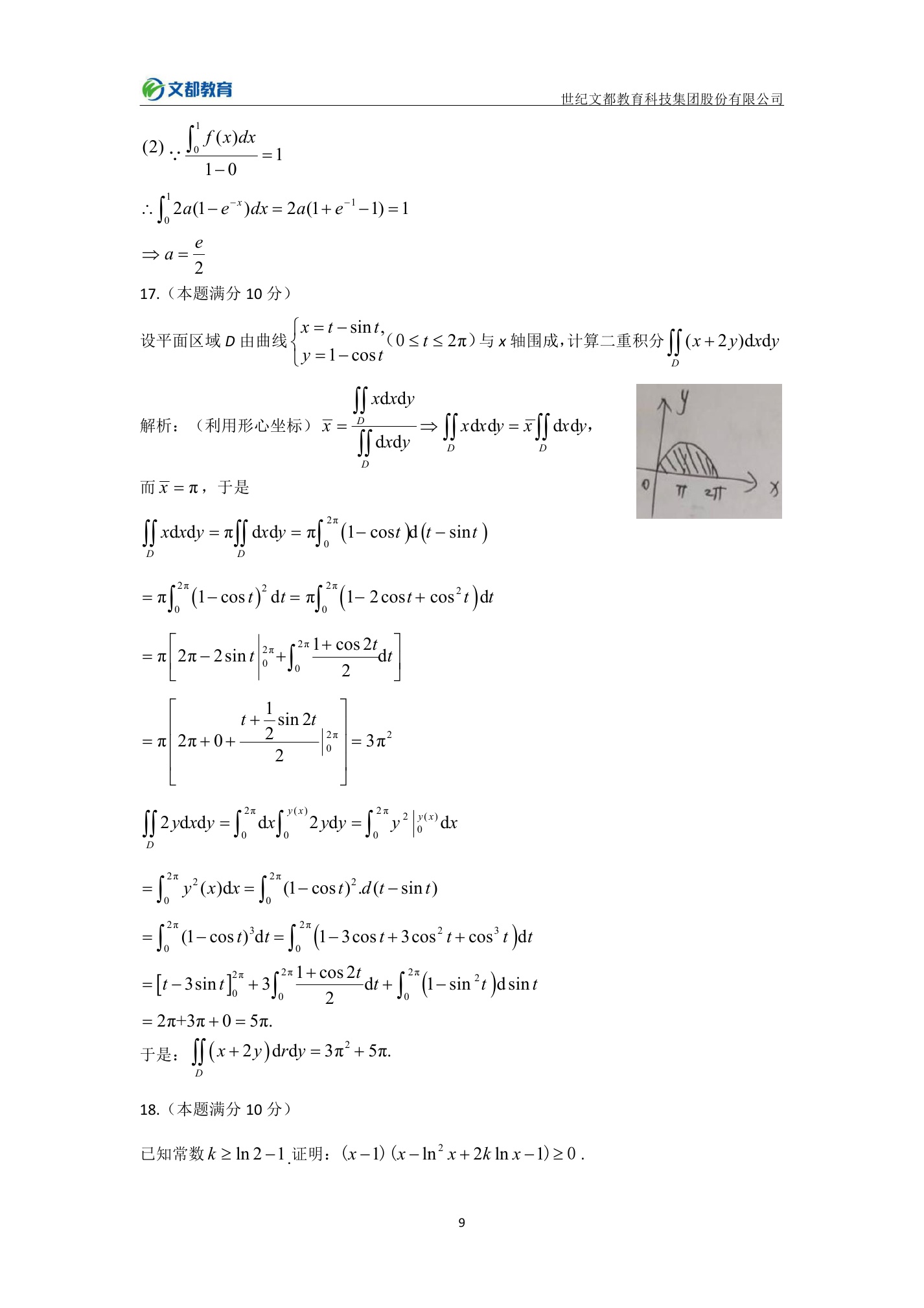
2018考研数学二真题带解析答案完整版(9)

本站小编 免费考研网/2018-01-02


相关话题/数学二

  • 领限时大额优惠券,享本站正版考研考试资料!
    大额优惠券
    优惠券领取后72小时内有效,10万种最新考研考试考证类电子打印资料任你选。涵盖全国500余所院校考研专业课、200多种职业资格考试、1100多种经典教材,产品类型包含电子书、题库、全套资料以及视频,无论您是考研复习、考证刷题,还是考前冲刺等,不同类型的产品可满足您学习上的不同需求。 ...
    本站小编 Free壹佰分学习网 2022-09-19
  • 2018年考研数学二冲刺:考试重点及题型总结
    2018考研数学冲刺复习进行中,下面整理分享2018年考研数学二冲刺:考试重点及题型总结,帮助大家更好的复习! 章节 知识点 题型 重要度等级 ...
    本站小编 免费考研网 2018-01-01
  • 2018考研数学二冲刺:考试重点及题型总结
    2018考研数学冲刺复习进行中,下面帮帮为大家整理分享考研数学二冲刺,考试重点及题型总结,帮助各位考研er更好的复习数学!线代部分考研中数一、数二与数三的考察有所差异,针对冲刺阶段数二线代部分同学们应该复习的重点,下面为同学们整理了如下表: 章节 ...
    本站小编 免费考研网 2018-01-01
  • 2018年与2017年考研数学二大纲变化对比
    ...
    本站小编 辅仁网 2017-10-03
  • 2018年考研数学二大纲公布(图片版)
    ...
    本站小编 辅仁网 2017-10-03
  • 2018考研数学二各科目复习重点总结
    数学二考高数和线性代数,不考概率,下文,小编总结了数学二各个科目各个章节的复习重点,18考生复习时多注意!高数第一章 函数、极限、连续等价无穷小代换、洛必达法则、泰勒展开式 求函数的极限函数连续的概念、函数间断点的类型判断函数连续性与间断点的类型第二章 一元函数微分学导数的定义、可导与连续之间的关系 ...
    本站小编 免费考研网 2017-06-08
  • 小学数学二年级下册(北师版)好题集
    下载地址:http://free.100xuexi.com/Ebook/14998.html封面内容简介、编委 下载地址:http://free.100xuexi.com/Ebook ...
    本站小编 福瑞考研网 2017-02-05
  • 小学数学二年级北师下册错题集
    下载地址:http://free.100xuexi.com/Ebook/15076.html封面内容简介、编委 下载地址:http://free.100xuexi.com/Ebook ...
    本站小编 福瑞考研网 2017-02-05
  • 名师点拨单元测试卷·数学二年级上(BS)
    下载地址:http://free.100xuexi.com/Ebook/74723.html封面目录第一单元测试卷第二单元测试卷第一次月考测试卷第三单元测试卷第四单元测试卷第二次月考测试期中测试卷第五六单元测试卷第七单元测试卷第三次月考测试卷第八单元测试卷第九单元测试卷第四次月考测试卷分类专项训练( ...
    本站小编 福瑞考研网 2017-02-05
  • 名师点拨单元测试卷·数学二年级上(QD)
    下载地址:http://free.100xuexi.com/Ebook/74776.html封面目录第一单元测试卷(一)第二单元测试卷(二)第一次月考测试卷第三单元测试卷(一)第四单元测试卷(二)第二次月考测试卷第五单元测试卷期中测试卷第六单元测试卷(一)第七单元测试卷(二)第三次月考测试卷第八单元 ...
    本站小编 福瑞考研网 2017-02-05
  • 名师点拨单元测试卷·数学二年级上(RJ)
    下载地址:http://free.100xuexi.com/Ebook/74869.html封面目录第一单元测试卷第二单元测试卷第一次月考测试卷第三、四单元测试卷期中测试卷(一)期中测试卷(二)第五单元测试卷第六单元测试卷第二次月考测试卷第七、八单元测试卷第九单元测试卷第三次月考测试卷分类专项训练一 ...
    本站小编 福瑞考研网 2017-02-05
  • 名师点拨单元测试卷·数学二年级上(SJ)
    下载地址:http://free.100xuexi.com/Ebook/74949.html封面目录第一、二单元测试卷第一次月考测试卷第三单元测试卷第四、五单元测试卷第六单元测试卷第二次月考测试卷期中测试卷第七单元测试卷第八单元测试卷第三次月考测试卷第九单元测试卷第十、十一单元测试卷第四次月考测试卷 ...
    本站小编 福瑞考研网 2017-02-05
  • 周考集优测试卷·人教版·数学二年级上
    下载地址:http://free.100xuexi.com/Ebook/75226.html封面目录第一周集优测试卷第一单元集优测试卷第二周集优测试卷第三周集优测试卷第四周集优测试卷月考一集优测试卷第五周集优测试卷第六周集优测试卷第二单元集优测试卷第七周集优测试卷第三单元(月考二)集优测试卷第八周集 ...
    本站小编 福瑞考研网 2017-02-05
  • 课时作业·冀教版·数学二年级上
    下载地址:http://free.100xuexi.com/Ebook/75530.html封面目录测量100以内的加法和减法方向与位置表内乘法(一)角的认识表内除法(一)统计时、分、秒专项训练总复习期中测试卷期末测试卷参考答案 ...
    本站小编 福瑞考研网 2017-02-05
  • 周考集优测试卷·北师大版·数学二年级上
    下载地址:http://free.100xuexi.com/Ebook/75672.html目录封面第一周集优测试卷数一数 儿童乐园第二周集优测试卷有几块积木 动物聚会第一单元集优测试卷第三周集优测试卷数果子 摘桃子 做家务第四周集优测试卷需要几个轮子 可爱的青蛙 小熊请客 回家路上第二单元(月考一 ...
    本站小编 福瑞考研网 2017-02-05
  • 课时作业·青岛版·数学二年级上
    下载地址:http://free.100xuexi.com/Ebook/76013.html封面目录一、看魔术乘法的初步认识二、看杂技表内乘法(一)三、小制作角的初步认识四、凯撒学艺表内乘 ...
    本站小编 福瑞考研网 2017-02-05