2014年考研结束了,考了哪些知识点,这些知识点难度如何?跨考教育数学教研室邵伟如老师分析统计如下。 选择题部分共8道题,3 ...
高等数学 新浪教育 2014-01-15 序号 考点 近5年考察情况 重要级别 1、 ...
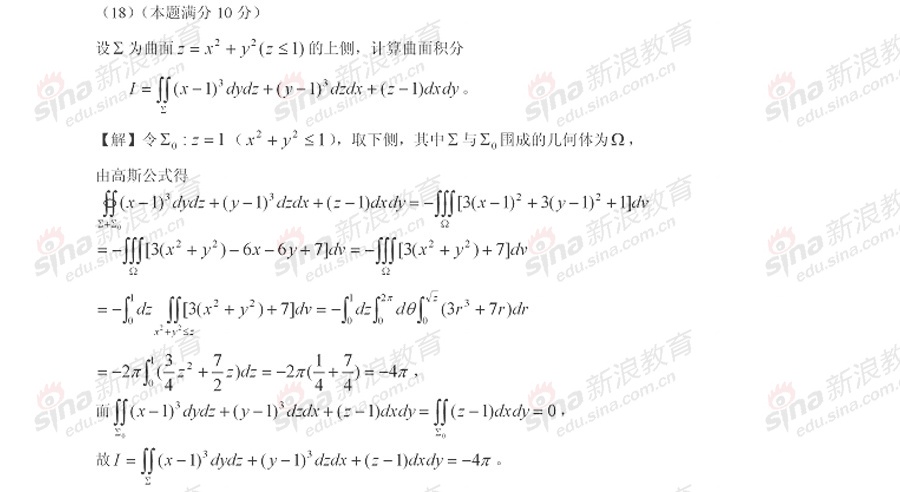
高等数学 新浪教育 2014-01-15 序号 考点 近5年考察情况 重要级别 1、 ...
高等数学 新浪教育 2014-01-15 序号 考点 近5年考察情况 重要级别 1 ...
高等数学 新浪教育 2014-01-152014年的全国硕士研究生入学统一考试已经于2014年1月5号落下了帷幕。全国硕士研究生入学统一考试作为国家选拨高层次人才而在高等 ...
政治指导 文都教育 2014-01-152014年考研已落下帷幕,纵观整张试卷,相较于往年真题,思修法基部分的题目十分简单。所有题目都能在《2014考研政治命题人5套卷》 ...
政治指导 跨考教育 2014-01-15从历年考研政治试题来看,党的方针政策往往是命题老师的指挥棒,也就是说命题老师不管命题花样如何多变,不管试题结构做出如何之 ...
政治指导 跨考教育 2014-01-15今年的考研政治相对与去年有一定提高,设问灵活,这就要求考生理论扎实,思路清晰。大体而言,选择题要注重分析题干才能得出答案 ...
政治指导 跨考教育 2014-01-15万学教育 海文考研 考研教学与研究中心 王赛芬 时光匆匆,一眨眼儿2014年考研政治顺利结束了,放眼今年的考研政治真题,最 ...
政治指导 海文教育 2014-01-15 2014年考研的思想政治理论考试已经结束。跨考教育刘晓亮老师通过对试题的分析,总结本次思想政治理论考试中的中国近现代史纲要 ...
政治指导 跨考教育 2014-01-15