快速导航
考研新闻
统考公共课
统考专业课
考研指南经验
考研院校
专业硕士
专业课资料
考研电子书
考试考证
出国留学
Free考研考试
题库
故事
专题
APP
笔记
论坛
搜索
VIP
资料
首页
>
考研数学
>
数学资料
跨考教育2014年考研《数学二》模拟试题及参考答案(一)
跨考教育 /2014-01-10
【正确答案】
【您的答案】修改
1、
2、
3、
4、
【正确答案】
【您的答案】修改
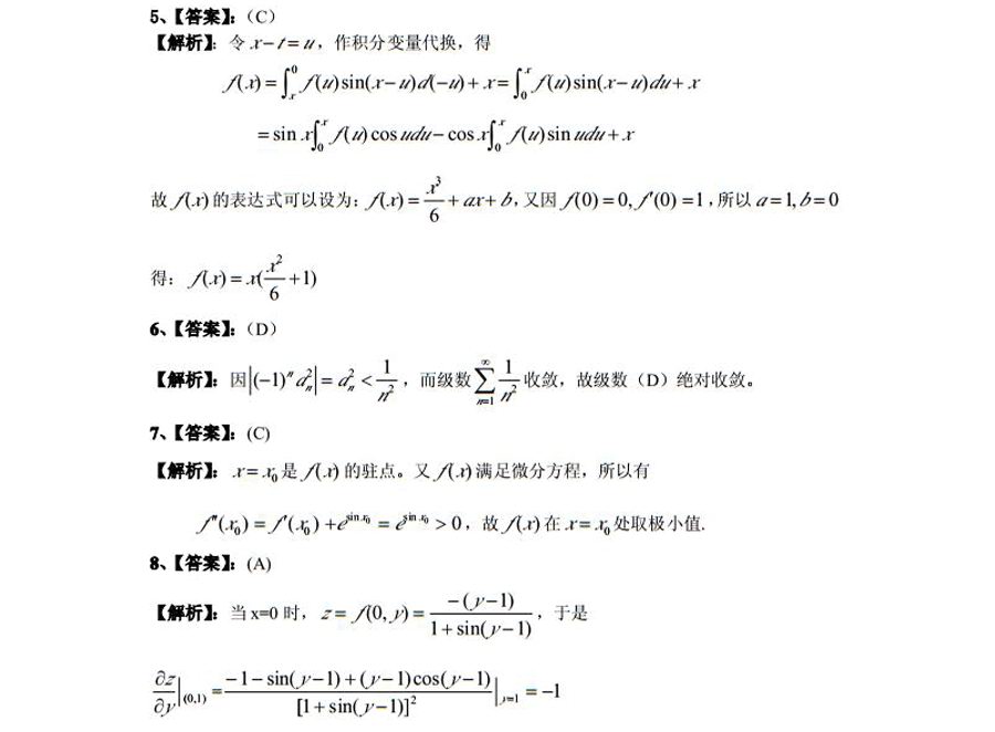
5、
6、
7、
8、
【正确答案】
【您的答案】修改
9、A、
10、A、
11、A、
12、A、
13、A、
14、A、
【正确答案】
【您的答案】修改
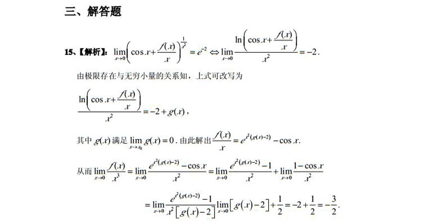
15、
【正确答案】
【您的答案】修改
16、
【正确答案】
【您的答案】修改
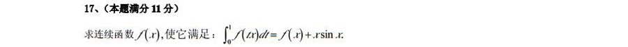
17、
【正确答案】
【您的答案】修改
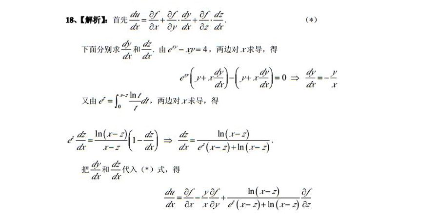
18、
【正确答案】
【您的答案】修改
19、
【正确答案】
【您的答案】修改
20、
【正确答案】
【您的答案】修改
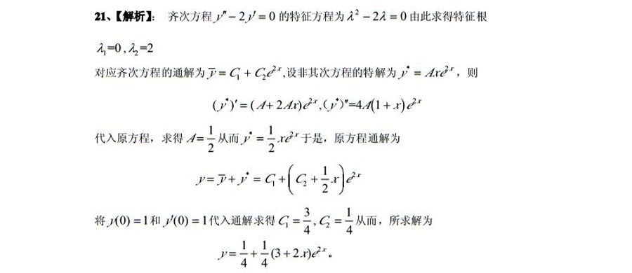
21、
【正确答案】
【您的答案】修改
22、
【正确答案】
【您的答案】修改
23、
相关话题/
数学二
模拟试题
领限时大额优惠券,享本站正版考研考试资料!
优惠券领取后72小时内有效,10万种最新考研考试考证类电子打印资料任你选。涵盖全国500余所院校考研专业课、200多种职业资格考试、1100多种经典教材,产品类型包含电子书、题库、全套资料以及视频,无论您是考研复习、考证刷题,还是考前冲刺等,不同类型的产品可满足您学习上的不同需求。 ...
考试优惠券
本站小编 Free壹佰分学习网 2022-09-19
跨考教育2014考研数学一冲刺模拟试题及参考答案汇总
距离2014年研究生考试还有最后几天。新浪小编整理了2014年考研[微博]冲刺阶段《数学一》模拟题,希望对备考的你有所帮助。 ...
数学资料
跨考教育 2014-01-10
跨考教育2014年考研《数学一》模拟试题及参考答案(十)
...
数学资料
跨考教育 2014-01-10
跨考教育2014年考研《数学一》模拟试题及参考答案(九)
【正确答案】 ...
数学资料
跨考教育 2014-01-10
跨考教育2014年考研《数学一》模拟试题及参考答案(八)
...
数学资料
跨考教育 2014-01-10
跨考教育2014年考研《数学一》模拟试题及参考答案(七)
...
数学资料
跨考教育 2014-01-10
跨考教育2014年考研《数学一》模拟试题及参考答案(六)
...
数学资料
跨考教育 2014-01-10
跨考教育2014年考研《数学一》模拟试题及参考答案(五)
...
数学资料
跨考教育 2014-01-10
跨考教育2014年考研《数学一》模拟试题及参考答案(四)
【正确答案】 ...
数学资料
跨考教育 2014-01-10
跨考教育2014年考研《数学一》模拟试题及参考答案(三)
...
数学资料
跨考教育 2014-01-10
跨考教育2014年考研《数学一》模拟试题及参考答案(二)
【正确答案】 ...
数学资料
跨考教育 2014-01-10