快速导航
考研新闻
统考公共课
统考专业课
考研指南经验
考研院校
专业硕士
专业课资料
考研电子书
考试考证
出国留学
Free考研考试
题库
故事
专题
APP
笔记
论坛
搜索
VIP
资料
首页
>
考研数学
>
数学资料
2009年考研数学(四)水平自测试题及参考答案
新浪考试 /2008-05-13
【正确答案】
【您的答案】修改
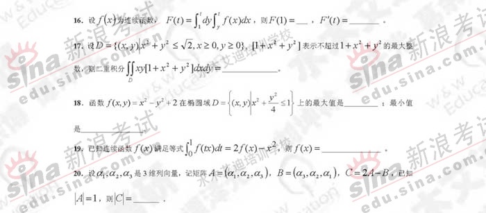
1、
2、
3、
4、
5、
【正确答案】
【您的答案】修改
6、
7、
8、
9、
10、
【正确答案】
【您的答案】修改
11、A、 B、
12、A、 B、
13、A、 B、
14、A、 B、
15、A、 B、
【正确答案】
【您的答案】修改
16、A、 B、
17、A、 B、
18、A、 B、
19、A、 B、
20、A、 B、
【正确答案】
【您的答案】修改
21、A、 B、
22、A、 B、
23、A、 B、
24、A、 B、
25、A、 B、
相关话题/
领限时大额优惠券,享本站正版考研考试资料!
优惠券领取后72小时内有效,10万种最新考研考试考证类电子打印资料任你选。涵盖全国500余所院校考研专业课、200多种职业资格考试、1100多种经典教材,产品类型包含电子书、题库、全套资料以及视频,无论您是考研复习、考证刷题,还是考前冲刺等,不同类型的产品可满足您学习上的不同需求。 ...
考试优惠券
本站小编 Free壹佰分学习网 2022-09-19