
【正确答案】

【您的答案】修改
1、
2、
3、
4、
5、
6、
7、
8、

【正确答案】

【您的答案】修改
9、A、 B、
10、A、 B、
11、A、 B、
12、A、 B、
13、A、 B、
14、A、 B、

【正确答案】

【您的答案】修改
15、

【正确答案】

【您的答案】修改
16、

【正确答案】

【您的答案】修改
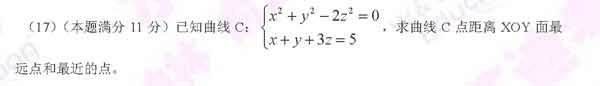
17、

【正确答案】

【您的答案】修改
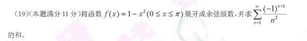
18、

【正确答案】

【您的答案】修改
19、

【正确答案】

【您的答案】修改
20、

【正确答案】

【您的答案】修改
21、

【正确答案】

【您的答案】修改
22、

【正确答案】

【您的答案】修改
23、
