2008年硕士研究生入学考试数学四真题及答案(官方版)

新浪考试 /2008-02-22



【正确答案】


【您的答案】修改

1、
2、
3、
4、
5、
6、
7、
8、




【正确答案】


【您的答案】修改

9、A、  B、 
10、A、  B、 
11、A、  B、 
12、A、  B、 
13、A、  B、 
14、A、  B、 




【正确答案】


【您的答案】修改

15、




【正确答案】


【您的答案】修改

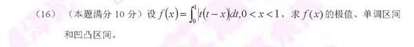
16、




【正确答案】


【您的答案】修改

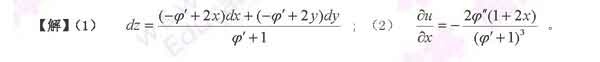
17、




【正确答案】


【您的答案】修改

18、




【正确答案】


【您的答案】修改

19、




【正确答案】


【您的答案】修改

20、




【正确答案】


【您的答案】修改

21、




【正确答案】


【您的答案】修改

22、




【正确答案】


【您的答案】修改

23、


相关话题/

  • 领限时大额优惠券,享本站正版考研考试资料!
    大额优惠券
    优惠券领取后72小时内有效,10万种最新考研考试考证类电子打印资料任你选。涵盖全国500余所院校考研专业课、200多种职业资格考试、1100多种经典教材,产品类型包含电子书、题库、全套资料以及视频,无论您是考研复习、考证刷题,还是考前冲刺等,不同类型的产品可满足您学习上的不同需求。 ...
    本站小编 Free壹佰分学习网 2022-09-19