二重积分是三重积分的基础,在建立了二重积分概念以后,三重积分是其自然的推广,没有本质折差别。在计算上看来,二重积分与三重积分都是最终化为定积分来计算的,但三重积分不论是采用“先二后一”还是“先一后二”,都要通过二重积分的计算,所以二重积分在多元函数积分学中有重要的作用,深入理解二重积分的概念,熟练掌握二重积分的计算方法,是学好多元函数积分学的关键。
对三重积分来说,计算的基本思路是转化为定积分,但计算的繁简取决于坐标系的选择,而坐标系的选择取决于积分区域的形状。一般来说,当积分区域是柱体、锥体或由柱面、锥面、旋转面与其他曲面所 空间立体时,宜利用柱面坐标计算;当积分区域是球体、锥体或球本的一部分时,宜利用球面坐标计算;当积分区域是长方体、四面体或任意形体时,宜利用直角坐标计算。
五、重积分
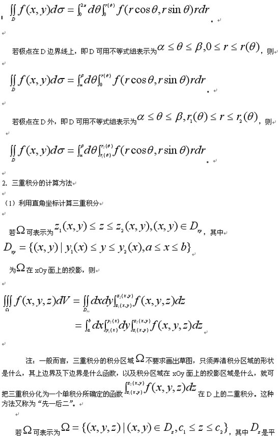
1.二重积分的计算方法
(1)利用直角坐标计算二重积分




