
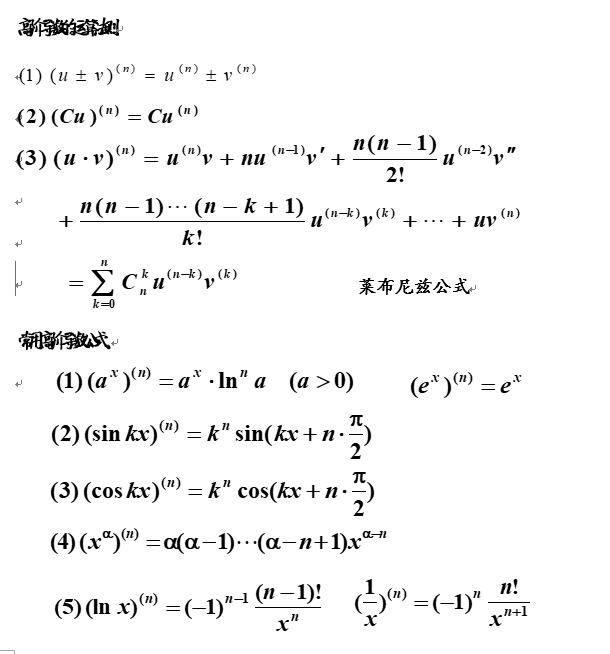
2020考研数学公式之常见高阶导数8个公式
本站小编 免费考研网/2019-11-27
相关话题/数学
2020考研数学三大科目知识框架
01、高等数学的结构框架图 02、线性代数的结构框架图 03、概率论与数理统计的结构框架图 ...数学指导 本站小编 免费考研网 2019-11-272020年考研数学一二三区别
2020考研,有些科目备考常识一定要门儿清,本文给大家总结了2020考研数学一二三区别: 一是考什么专业。是继续自己本科的专业,选一个好的学校改变二次出身,还是选一个更好的专业及此专业综合实力强的学校作为一个跳跃提升自己,这需要根据专业潜力、自己的考研实力及兴趣做出决定。但犹豫的时间不宜过久,也就是的尽 ...数学指导 本站小编 免费考研网 2019-11-27安徽师范大学数学与统计学院892数学教学论[专业硕士]历年考研真题汇编
目录封面内容简介目录2015年安徽师范大学数学与统计学院892数学教学论[专业硕士]考研真题2016年安徽师范大学数学与统计学院892数学教学论[专业硕士]考研真题2017年安徽师范大学数学与统计学院892数学教学论[专业硕士]考研真题2018年安徽师范大学数学与统计学院892数学教学论[专业硕士] ...辅导考试考研资料 本站小编 Free考研 2019-10-03武汉大学653数学分析历年考研真题汇编(含部分答案)
目录封面内容简介目录2002年武汉大学355数学分析考研真题2003年武汉大学359数学分析考研真题及详解2004年武汉大学369数学分析考研真题2005年武汉大学349数学分析考研真题2006年武汉大学348数学分析考研真题2007年武汉大学630数学分析考研真题2008年武汉大学633数学分析考 ...辅导考试考研资料 本站小编 Free考研 2019-10-03河南师范大学数学与信息科学学院803数学教育学[专业硕士]历年考研真题汇编
目录封面内容简介目录2010年河南师范大学数学与信息科学学院901数学教育学[专业硕士]考研真题2011年河南师范大学数学与信息科学学院901数学教育学[专业硕士]考研真题2012年河南师范大学数学与信息科学学院802数学教育学[专业硕士]考研真题2013年河南师范大学802数学教育学[专业硕士]考 ...辅导考试考研资料 本站小编 Free考研 2019-10-032020年宁波大学721高等数学考研全套资料
目录说明:本全套资料免费下载,共包括8种电子书。使用全套资料密码激活后,全套资料里的所有电子书、所有题库均可使用。1.历年考研真题汇编[电子书]宁波大学721高等数学历年考研真题汇编[免费下载]2.经典教材笔记和课后习题详解[电子书]同济大学数学系《高等数学》(第7版)(上册)笔记和课后习题(含考研 ...辅导考试考研资料 本站小编 Free考研 2019-10-032020年宁波大学理学院671数学分析考研全套资料
目录说明:本全套资料免费下载,共包括8种电子书。使用全套资料密码激活后,全套资料里的所有电子书、所有题库均可使用。1.历年考研真题汇编[电子书]宁波大学理学院671数学分析历年考研真题汇编[免费下载]2.经典教材笔记和课后习题详解[电子书]华东师范大学数学系《数学分析》(第4版)(上册)笔记和课后习 ...辅导考试考研资料 本站小编 Free考研 2019-10-03宁波大学721高等数学历年考研真题汇编
目录封面内容简介目录2010年宁波大学614高等数学考研真题2011年宁波大学602高等数学考研真题2012年宁波大学602高等数学考研真题2013年宁波大学721高等数学考研真题2014年宁波大学721高等数学考研真题2015年宁波大学721高等数学考研真题2016年宁波大学721高等数学考研真题 ...辅导考试考研资料 本站小编 Free考研 2019-10-03宁波大学理学院671数学分析历年考研真题汇编
目录封面内容简介目录2011年宁波大学610数学分析考研真题2012年宁波大学610数学分析考研真题2013年宁波大学671数学分析考研真题2014年宁波大学671数学分析考研真题2015年宁波大学671数学分析考研真题2016年宁波大学671数学分析考研真题2017年宁波大学671数学分析考研真题 ...辅导考试考研资料 本站小编 Free考研 2019-10-03全国名校数学教学论考研真题(含复试)汇编(含部分答案)
目录封面内容简介目录1.苏州大学数学教学论考研真题 2012年苏州大学876数学教学论考研真题 2013年苏州大学876数学教学论考研真题 2014年苏州大学876数学教学论考研真题2.华中师范大学数学教学论考研真题(含复试)(含部分答案) 2010年华中师范大学数学教学论考研真题及参考答案 201 ...辅导考试考研资料 本站小编 Free考研 2019-10-03考研数学(三)历年真题与模拟试题详解
目录封面内容简介目录第一部分 历年真题及详解 2008年全国硕士研究生入学统一考试考研数学三真题及详解 2009年全国硕士研究生入学统一考试考研数学三真题及详解 2010年全国硕士研究生入学统一考试考研数学三真题及详解 2011年全国硕士研究生入学统一考试考研数学三真题及详解 2012年全国硕士研究 ...辅导考试考研资料 本站小编 Free考研 2019-10-03山东师范大学数学与统计学院432统计学[专业硕士]历年考研真题汇编
目录封面内容简介目录2015年山东师范大学432统计学[专业硕士]考研真题2017年山东师范大学432统计学[专业硕士]考研真题2018年山东师范大学432统计学[专业硕士]考研真题内容简介本书收录了山东师范大学数学与统计学院432统计学[专业硕士]的考研真题(详细参见本 ...辅导考试考研资料 本站小编 Free考研 2019-10-03安徽师范大学数学与统计学院432统计学[专业硕士]历年考研真题汇编
目录封面内容简介目录2014年安徽师范大学432统计学[专业硕士]考研真题2015年安徽师范大学432统计学[专业硕士]考研真题2016年安徽师范大学432统计学[专业硕士]考研真题2017年安徽师范大学432统计学[专业硕士]考研真题2018年安徽师范大学432统计学[专业硕士]考研真题2019年 ...辅导考试考研资料 本站小编 Free考研 2019-10-03暨南大学709数学分析历年考研真题汇编
目录封面内容简介目录2011年暨南大学709数学分析考研真题2012年暨南大学709数学分析考研真题2013年暨南大学709数学分析考研真题2014年暨南大学709数学分析考研真题2015年暨南大学709数学分析考研真题2016年暨南大学709数学分析考研真题2017年暨南大学709数学分析考研真题 ...辅导考试考研资料 本站小编 Free考研 2019-10-03暨南大学601高等数学历年考研真题汇编
目录封面内容简介目录2010年暨南大学360高等数学考研真题2011年暨南大学601高等数学考研真题2012年暨南大学601高等数学考研真题2013年暨南大学601高等数学考研真题2014年暨南大学601高等数学考研真题2016年暨南大学601高等数学考研真题2017年暨南大学601高等数学考研真题 ...辅导考试考研资料 本站小编 Free考研 2019-10-03
