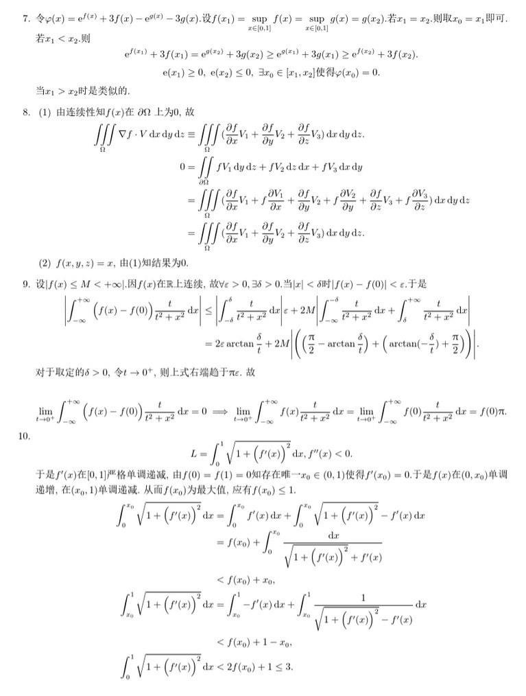
北京大学2014年数学分析试题解答(3)
本站小编 免费考研网/2020-04-22
相关话题/北京大学 数学分析
2018年北京大学高等代数与解析几何试题及解答
专业课考研资料 本站小编 免费考研网 2020-04-22北京大学2017年数学分析试题及解答
专业课考研资料 本站小编 免费考研网 2020-04-22北京大学2015年高等代数与解析几何试题及解答
专业课考研资料 本站小编 免费考研网 2020-04-22北京大学2011年数学分析试题及解答
专业课考研资料 本站小编 免费考研网 2020-04-22北京大学2018年数学分析试题及解答
专业课考研资料 本站小编 免费考研网 2020-04-22北京大学2016年数学分析试题及解答
专业课考研资料 本站小编 免费考研网 2020-04-22北京大学2019年数学分析试题及解答
专业课考研资料 本站小编 免费考研网 2020-04-22北京大学2020年高等代数与解析几何试题及解答
专业课考研资料 本站小编 免费考研网 2020-04-22北京大学2019年高等代数与解析几何试题及解答
专业课考研资料 本站小编 免费考研网 2020-04-22中国人民大学2007年数学分析考研真题
专业课考研资料 本站小编 免费考研网 2020-04-22谢惠民数学分析习题课讲义部分题目解答
专业课考研资料 本站小编 免费考研网 2020-04-22北京大学医学部2020考研复试分数线已公布
北京大学医学部2020年硕士研究生招生复试基本分数线 一、学术学位 学术学位 政治 外语 专业课1 专业课2 总分 备注 伦理学 55 ...考研分数线 本站小编 免费考研网 2020-04-19北京大学2013年数学分析考研试题及解答
专业课考研资料 本站小编 免费考研网 2020-04-09北京大学2009年数学分析考研试题及解答
专业课考研资料 本站小编 免费考研网 2020-04-09北京大学2006年数学分析考研试题及解答
专业课考研资料 本站小编 免费考研网 2020-04-09

