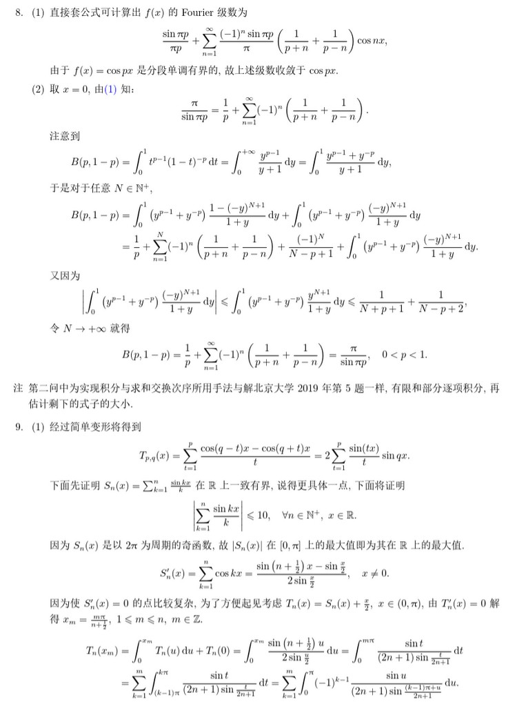
北京大学2020年数学分析考研试题及解答(4)
本站小编 免费考研网/2020-04-09
相关话题/北京大学 数学分析
北京大学2020年高等代数与解析几何试题及答案解答
专业课考研资料 本站小编 免费考研网 2020-04-09哈尔滨工业大学2020数学分析和高等代数考研真题
专业课考研资料 本站小编 免费考研网 2020-04-09华南理工大学2020年数学分析考研试题参考解答
专业课考研资料 本站小编 免费考研网 2020-04-09北京大学2017级数学分析期中考试试题
专业课考研资料 本站小编 免费考研网 2020-04-09北京大学2019年高等代数与解析几何考研试题及解答
专业课考研资料 本站小编 免费考研网 2020-04-09北京大学2008年高等代数与解析几何试题及解答
专业课考研资料 本站小编 免费考研网 2020-04-09985院校数学系2019年考研数学分析高等代数试题及部分解答
专业课考研资料 本站小编 免费考研网 2020-04-09浙江大学2013年数学分析考研试题及解答部分
专业课考研资料 本站小编 免费考研网 2020-04-09北京大学2016-2017高等代数期末试卷
专业课考研资料 本站小编 免费考研网 2020-04-09中国科学技术大学2010~2017年数学分析考研真题
专业课考研资料 本站小编 免费考研网 2020-04-09福州大学2012年数学分析考研试题
专业课考研资料 本站小编 免费考研网 2020-03-09四川大学2020年数学分析考研试题
专业课考研资料 本站小编 免费考研网 2020-03-032012年北京大学广告学与媒体经营管理考研真题
专业课考研资料 本站小编 免费考研网 2020-03-032013北京大学927环境科学综合(回忆版)考研真题
一,问答题 1, 生态系统的组成 2, 环境影响评价 3, 举例说明我国的环境管理手段 4, 城市污水处理的基本流程 5, 电子束同时脱硫脱硝技术的原理 6, 解释淸洁生产 7, 废水的深度处理技术 8, 我国环境保护的基本政策 9, 纯水高纯水的生产技术 10, 忘记了 11, 复合型污染(具体是什 ...专业课考研资料 本站小编 免费考研网 2020-03-032019北京大学传播学学硕前三考研经验
我从去年三四月的时候开始准备考研,今年3.26公布成绩,大概一年的准备时间,我真的考上了北大。一直觉得考研很值,与保研的同学相比,你只需要多学习三四个月,并且还可以选择自己喜欢的学校;与工作的同学相比,工作后便是相似的单调生活,拿一年来追一个梦,何尝不值得。无数次幻想自己写经验贴的一天,原来得偿所愿如此 ...专业课考研经验 本站小编 免费考研网 2020-03-03

