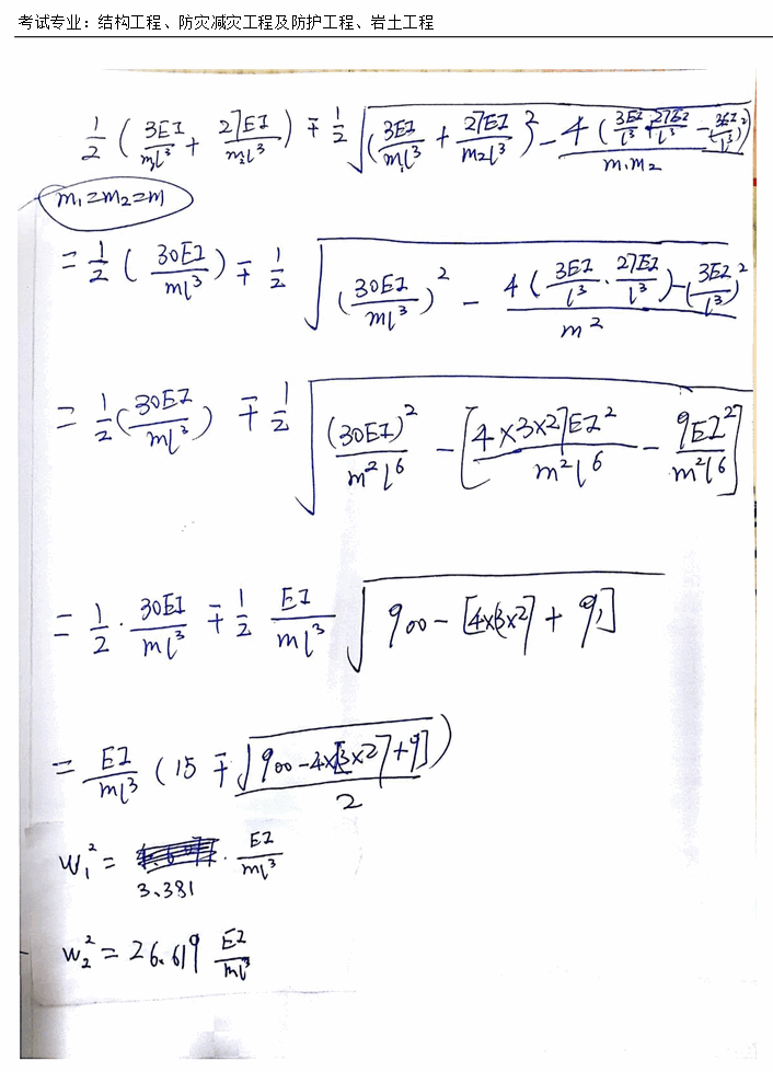
2009年北京建筑大学结构力学研究生初试真题及答案(10)
本站小编 免费考研网/2020-03-05
相关话题/北京建筑大学 结构 力学
重庆大学考研考试岩石力学历年试题统计
专业课考研资料 本站小编 免费考研网 2020-03-052007年北京建筑大学结构力学研究生初试真题及答案
专业课考研资料 本站小编 免费考研网 2020-03-052008年北京建筑大学结构力学研究生初试真题及答案
专业课考研资料 本站小编 免费考研网 2020-03-052012年北京建筑大学结构力学研究生初试真题及答案
专业课考研资料 本站小编 免费考研网 2020-03-052016年北京建筑大学结构力学研究生初试真题
专业课考研资料 本站小编 免费考研网 2020-03-05北京建筑大学2010-2011结构力学期末试题及答案
专业课考研资料 本站小编 免费考研网 2020-03-05太原理工大学研究生复试理论力学选择题题库
15-7. 图示均质矩形板ABCD重W,O1A和O2B两杆的长度相等,质量不计,O1O2=AB。设O1A杆转动到图示铅直位置时,其角速度0,角加速度=0,该杆所受的力的大小为Sd。当系统在图示位置处于静止时,杆所受力的大小为S0,则 (A) 必有Sd=S0 (B) 不可能有SdS0 (C) 必有SdS0 (D) 可能有SdS0 15-8. ...专业课考研资料 本站小编 免费考研网 2020-03-04北京理工大学2006年量子力学考研试题及答案
专业课考研资料 本站小编 免费考研网 2020-03-04北京理工大学2008年量子力学考研试题及答案
专业课考研资料 本站小编 免费考研网 2020-03-04北京理工大学2007年量子力学考研试题及答案
专业课考研资料 本站小编 免费考研网 2020-03-042014福州大学结构力学复试试题回忆
首先稍微说下初试的结构力学,题目的话和12年有些类似,选择题5道好像有一些是一样的,判断题没有了,简答题我感觉还是有点难,有一道动力学的等效荷载效应还是什么的我忘了,还有刚架为什么不需要考虑轴向变形之类的。计算题的话有体系的几何组成不难(好像是个瞬变体系),位移计算是一根梁要自己求惯性矩,含温度、荷载等 ...专业课考研资料 本站小编 免费考研网 2020-03-032009年中南大学量子力学909考研试题
专业课考研资料 本站小编 免费考研网 2020-03-032014年湖南师范大学865数据结构考研真题
专业课考研资料 本站小编 免费考研网 2020-03-032014年北京化工大学材料力学考研真题
专业课考研资料 本站小编 免费考研网 2020-03-032011年重庆大学921材料力学三考研试题
专业课考研资料 本站小编 免费考研网 2020-03-03

