西北工业大学2002-2006考研821自动控制原理真题典型题解析详细答案(30)

本站小编 免费考研网/2020-02-18


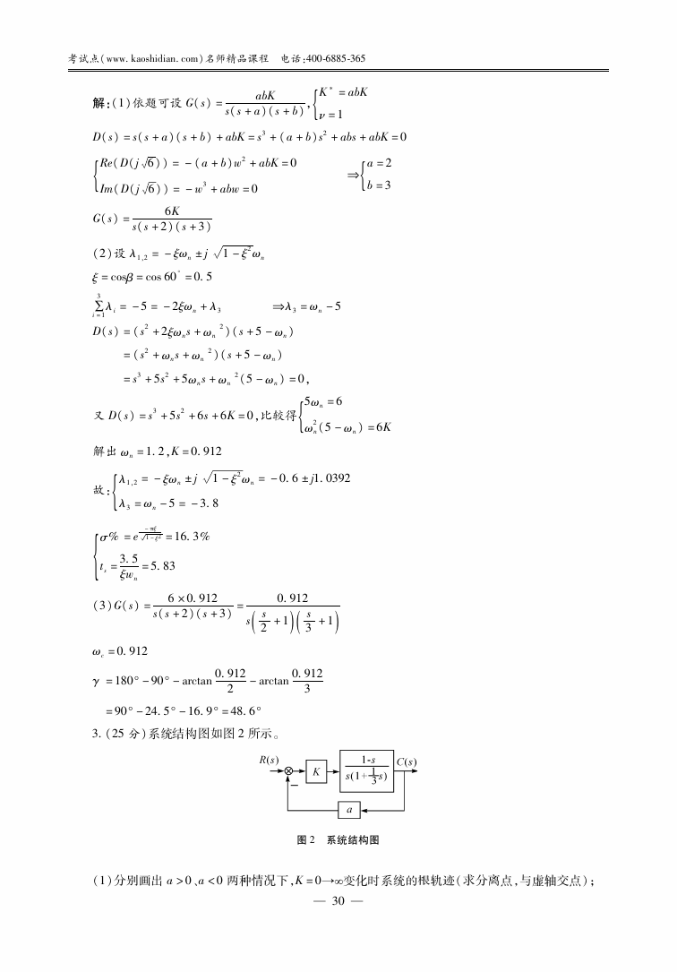
相关话题/西北工业大学 控制