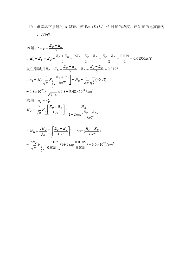
半导体物理学刘恩科第七版习题答案完全版本(16)

本站小编 免费考研网/2020-02-18


相关话题/半导体 物理