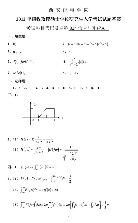
西安邮电大学2012年824信号与系统考研真题(7)
本站小编 免费考研网/2020-02-17
相关话题/西安邮电大学 信号
西安邮电大学2011年824信号与系统考研真题
专业课考研资料 本站小编 免费考研网 2020-02-17西安邮电大学2010年824信号与系统考研真题
专业课考研资料 本站小编 免费考研网 2020-02-17西安邮电大学2009年824信号与系统考研真题
专业课考研资料 本站小编 免费考研网 2020-02-17西安邮电大学2008年824信号与系统考研真题
专业课考研资料 本站小编 免费考研网 2020-02-17西安邮电大学2007年824信号与系统考研真题
专业课考研资料 本站小编 免费考研网 2020-02-17西安邮电大学2006年824信号与系统考研真题
专业课考研资料 本站小编 免费考研网 2020-02-17北京邮电大学通信考研2018年信号与系统804真题
...专业课考研资料 本站小编 免费考研网 2020-02-06中国科技大学843信号与系统考研模拟题三带详细答案
专业课考研资料 本站小编 免费考研网 2020-02-04中国科技大学843信号与系统考研模拟题二带详细答案
专业课考研资料 本站小编 免费考研网 2020-02-04中国科技大学843信号与系统考研模拟题一带详细答案
专业课考研资料 本站小编 免费考研网 2020-02-042016云南大学827信号与系统考研真题
专业课考研资料 本站小编 免费考研网 2020-02-042017年云南大学信息学院827信号与系统真题回忆版
专业课考研资料 本站小编 免费考研网 2020-02-03云南大学2018年827信号与系统考研真题考场手抄版
专业课考研资料 本站小编 免费考研网 2020-02-012011-2015年西北工业大学827信号与系统考研真题
专业课考研资料 本站小编 免费考研网 2020-01-262019四川大学信号与系统考研专业课试卷
专业课考研资料 本站小编 免费考研网 2020-01-09

