作者: 路小佳的花生米 时间: 2019-12-23 20:58
标题: 432应用统计真题解答
求助同学之后写的,今年没怎么准备来试试水,
明年加油╰_╯
最后一题最后一问不确定,解答仅供参考交流

作者: 干锅菜花 时间: 2019-12-24 00:18
第一题第二问不对,应该分0-1、1-2、2-3三个区间,图上这个分布函数都能取负值了
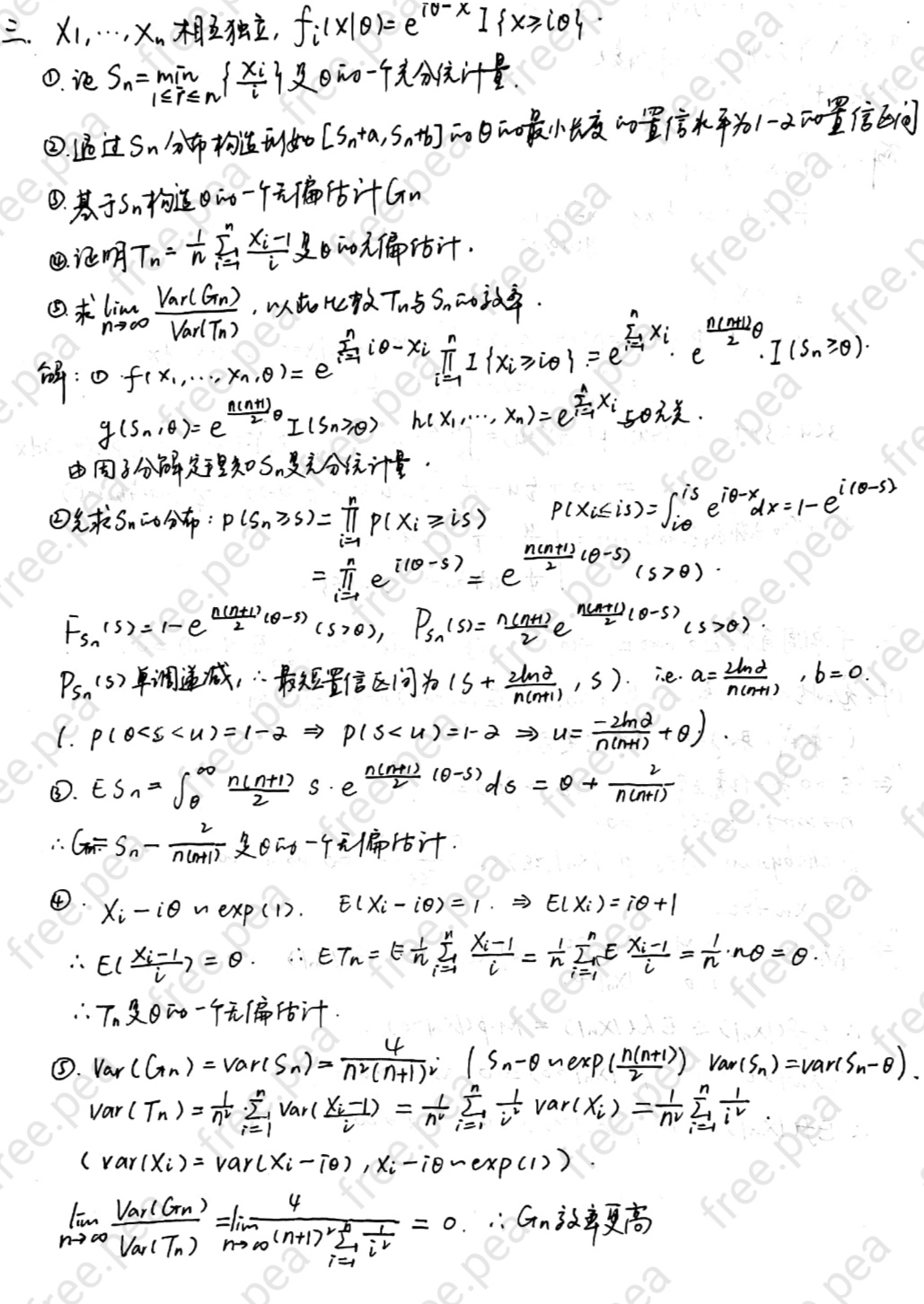
第四题第三问应该是be(n,m)
作者: pregraduate 时间: 2019-12-24 00:47
第二题必要性的证明也有问题,有无穷小量之间的比较。
作者: 拂晓唯一 时间: 2019-12-24 01:11
必要性证明应该是讨论>ε小于ε两个条件期望分别放缩,大于的部分,函数上界加依概率收敛,小于的部分取ε,然后用任意性得证
作者: 路小佳的花生米 时间: 2019-12-24 01:12
pregraduate 发表于 2019-12-24 00:47
第二题必要性的证明也有问题,有无穷小量之间的比较。
f(ε)不是无穷小,给定ε时是确定的正常数
作者: 路小佳的花生米 时间: 2019-12-24 01:18
拂晓唯一 发表于 2019-12-24 01:11
必要性证明应该是讨论>ε小于ε两个条件期望分别放缩,大于的部分,函数上界加依概率收敛,小于的部分取ε ...
这个没有问题,依概率收敛确实可以推出P(|X|>0)=1
作者: 路小佳的花生米 时间: 2019-12-24 01:18
干锅菜花 发表于 2019-12-24 00:18
第一题第二问不对,应该分0-1、1-2、2-3三个区间,图上这个分布函数都能取负值了
第四题第三问应该是be(n,m ...
啊,是分三个,我傻了
作者: 路小佳的花生米 时间: 2019-12-24 01:23
干锅菜花 发表于 2019-12-24 00:18
第一题第二问不对,应该分0-1、1-2、2-3三个区间,图上这个分布函数都能取负值了
第四题第三问应该是be(n,m ...
Beta(n,m)怎么得到的方便详细说下吗?( •̀∀•́ )
作者: 拂晓唯一 时间: 2019-12-24 01:26
我提供的是一种思路,感觉这个貌似更常用一点,因为茆诗松上有一个完全类似的
作者: 拂晓唯一 时间: 2019-12-24 01:28
乘起来然后变量代换,一个是x/(x+y)一个是x+y
作者: 路小佳的花生米 时间: 2019-12-24 01:35
拂晓唯一 发表于 2019-12-24 01:26
我提供的是一种思路,感觉这个貌似更常用一点,因为茆诗松上有一个完全类似的 ...
嗯嗯,我知道你说的是哪,分段分别控制确实是分析常用套路( ´▽`
作者: 浮傷年華985 时间: 2019-12-24 02:58
感觉大佬们差不多,估计140+有很多…
作者: 下雨了欸 时间: 2019-12-24 09:52
第一题第一问也有问题,x>1,0<y<2等情况下的分布函数没有考虑
作者: 路小佳的花生米 时间: 2019-12-24 10:28
下雨了欸 发表于 2019-12-24 09:52
第一题第一问也有问题,x>1,0
分布函数,写明范围就可以了,这个没有问题
作者: 下雨了欸 时间: 2019-12-24 12:00
可能我的理解有误,你说的范围是指联合密度函数非0的范围吗?但是在x>1,2>y>0时的联合分布函数为y/2,在0<x<1,y>2时的联合分布函数为x,我觉得至少这是得写上的。
作者: 路小佳的花生米 时间: 2019-12-24 12:10
下雨了欸 发表于 2019-12-24 12:00
可能我的理解有误,你说的范围是指联合密度函数非0的范围吗?但是在x>1,2>y>0时的联合分布函数为y/2,在0 ...
我知道你的意思,但是我个人觉得这个应该是不必写的(不敢保证),这个求出来的,其实就是边缘分布了
作者: 下雨了欸 时间: 2019-12-24 13:15
需要写的 ,因为分布函数F(x,y)的定义域是整个二维平面,而边缘分布是分布函数的一部分 ,有相关例题(^_^)

作者: 路小佳的花生米 时间: 2019-12-24 13:19
下雨了欸 发表于 2019-12-24 13:15
需要写的 ,因为分布函数F(x,y)的定义域是整个二维平面,而边缘分布是分布函数的一部分 ,有相关例题(^_^)
...
嗯嗯!非常感谢!以后会注意这个问题的
作者: 故国海棠 时间: 2019-12-24 16:01
看了这个真题答案帖感觉今年专业课人均140,我还觉得好难…我太垃圾了[害怕]


