四川大学数字信号处理习题补充(3)

本站小编 免费考研网/2020-01-09


相关话题/四川大学 数字 信号

  • 领限时大额优惠券,享本站正版考研考试资料!
    大额优惠券
    优惠券领取后72小时内有效,10万种最新考研考试考证类电子打印资料任你选。涵盖全国500余所院校考研专业课、200多种职业资格考试、1100多种经典教材,产品类型包含电子书、题库、全套资料以及视频,无论您是考研复习、考证刷题,还是考前冲刺等,不同类型的产品可满足您学习上的不同需求。 ...
    本站小编 Free壹佰分学习网 2022-09-19
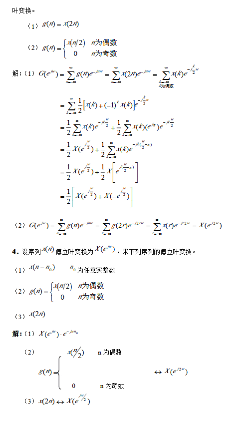
  • 四川大学数字信号处理中文小测试2018含答案
    本站小编 免费考研网 2020-01-09
  • 2020四川大学新闻传播专硕备考经验
    作者: Edward学长 时间: 2020-1-8 11:09 标题: 分享一下我的备考经验,学弟学妹可以参考 我是川大新传专硕研一在读,一战郑大,二战川大。 回顾当初的自己,我像你一样,在各大论坛疯狂找经验贴,找学长学姐,找资料,但是我做了很多无用功,有的经验贴不仅对我没有帮助,反而影响了我的复习计划。所以为了不让劣币驱 ...
    本站小编 考研帮 2020-01-08
  • 2019四川大学情报学真题回忆667+972
    作者: 你的雀跃 时间: 2018-12-25 19:11 标题: 2019年四川大学情报学真题回忆(667+972) 667相关的 一、名词解释 1.信息计量学 2.索引 3.云计算 4.信息三角形(大概是第一章第二章的,简称3s) 二、简答 1.社会信息化度量方法 2.简述MEMEX 3.简述数据管理中科学管理的活动有哪些 972 一、名词解释 1.数据 ...
    本站小编 考研帮 2020-01-08
  • 2020四川大学中国语言文学915文学评论写作635试卷(20回忆版)
    915 名词解释 1.古希腊悲剧中的命运主题 2.比较文学变异学 3.过录本 4.批校本 5.音素 6.六书 7.虚词 8.汉乐府 9.竹林七贤 问答 1.请谈一谈朦胧诗的文学史意义 2.简述明代小说的发展及成绩 3.请举例说明但丁《神曲》的艺术特色 4.简述古籍校勘的方法 5.举例说明古代汉语宾语前 ...
    本站小编 免费考研网 2020-01-05
  • 2020北京电影学院数字电影制作考研真题
    影视技术系 【数字电影制作】 选择题(空) 填空题(空) 简勰 1运动操作系统的应用场景以及作用 2数字电影母版工艺弼呈 3特效工业发展至今历史历程,用至少三部电影举例说明 4.1925年巴黎国际电影会议电影胶片的标准规格 论述题 1李安双子杀手作为电影高技术发展,你认为今后发展如何有何趋势 2b ...
    本站小编 免费考研网 2020-01-05
  • 四川大学2010年护理综合考研真题
    四川大学 2010年攻读硕士学位研究生入学考试试题 考试科目:护理学综合 科目代码:308# 适用专业:护理学 (试题共14页) (答案必须写在答题纸上,写在试题上不给分) 一、单选题(120题,每题1.5分,共180分) 1.护理学的基本概念通常不包括: A.人 B.环境 C.健 ...
    本站小编 免费考研网 2020-01-03
  • 四川大学应用心理考研经验贴
    四川大学应用心理考研经验贴
    ...
    本站小编 免费考研网 2020-01-02
  • 2020四川大学公管院行管教经土管社保管理学666行政管理969回忆版
    2020四川大学公管院行管教经土管社保管理学666行政管理969回忆版
    作者: 陶一陶一 时间: 2019-12-30 19:08 标题: 2020川大公管院行管教经土管社保 666 +969回忆版 考完的第二天回忆的,应该没有遗漏, 总的来说,今年换参考书目后 666综合很注重基本概念基本理论等基础知识,969有40%是课本上基础 ,另外60%需要课本结合时政论述 ,也是决定总分的关键。 希望能给2021的学弟学妹们提 ...
    本站小编 免费考研网 2020-01-02
  • 2020四川大学应用心理专硕(347)考研经验分享
    作者: TANGSIYANG 时间: 2020-1-1 10:59 标题: 四川大学应用心理专硕(347)考研经验分享 写在开头:本文仅代表自己参加2020年研究生入学考试之后的一点拙见,也算是为自己这半年的坚持留下一点有意义的东西 一、个人情况 我本科是某双非一本院校,本科人力资源管理专业,大学学习成绩中等,英语六级未过。我属于 ...
    本站小编 免费考研网 2020-01-02
  • 2020中国地质大学(武汉)电路,信号与系统考研真题
    填空题加大题 电路填空题都是那些个基础考点 3道大题,第一题节点电压,第二题平均功率,第三题求平均功率,有效功率,复功率等 信号与系统 填空题大题,基本都是三大变换,卷积 ...
    本站小编 免费考研网 2020-01-01
  • 2020四川大学656普通生物学考研真题回忆版
    作者: SherlockLei 时间: 2019-12-26 20:41 标题: 2020四川大学656普通生物学 题量有变化,但是大头还是植物动物。 单选15道30分,记不住,等补充 名词解释10道30分,记不住,等补充 论述题6道90分: 1.比较玉米和水稻的光合效率; 2.ARG分类系统与传统分类系统比较; 3.从变异类型区分遗传病并举例; 4.植 ...
    本站小编 免费考研网 2019-12-28
  • 2020厦门大学847信号与系统考研试卷回忆版
    本站小编 免费考研网 2019-12-28
  • 四川大学2013-2015年考博英语真题和答案
    本站小编 免费考研网 2019-12-26
  • 四川大学法硕数据分析
    四川大学法硕数据分析
    岷峨挺秀,锦水含章,巍巍学府。四川大学法学院历史悠久,距今已有百年历史,如今拥有2个985工程建设平台和1个四川省哲学社会科学重点基地。学院既有全国著名的刑事侦查学周应德教授等老专家,又有一批学术领军人物如杨泉明教授、龙宗智教授、顾培东教授、左卫民教授、周伟教授等,学术教育水平高。在科研方面 ...
    本站小编 法律硕士万满意 2019-12-16
  • 2019年四川大学法硕复试真题
    2019年四川大学法硕复试真题
    名词解释;法治 , 法系 ,法律责任 ...
    本站小编 法律硕士万满意 2019-12-15