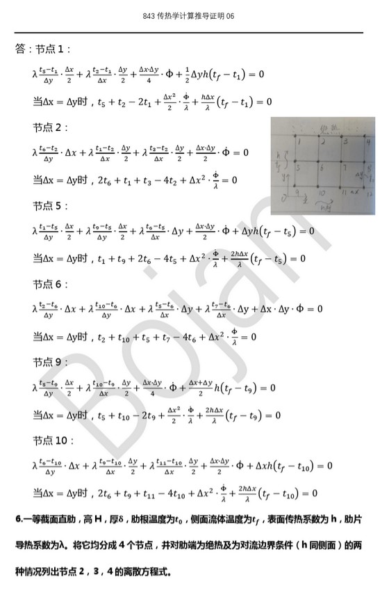
- 专业课考研资料 本站小编 免费考研网 2019-12-25
- 专业课考研资料 本站小编 免费考研网 2019-12-25
- 专业课考研资料 本站小编 免费考研网 2019-12-25
- 专业课考研资料 本站小编 免费考研网 2019-12-25
《传热学》试题库
第一章 概 论
一、 名词解释
1.热流量:单位时间内所传递的热量
2.热流密度:单位传热面上的热流量
3.导热:当物体内有温度差或两个不同温度的物体接触时,在物体各部分之间不发生相对位移的情况下,物质微粒(分子、原子或自由电子)的热运动传递了热量,这种现象被称为热传导,简称导热。 ...
专业课考研资料 本站小编 免费考研网 2019-12-25- 专业课考研资料 本站小编 免费考研网 2019-12-16

1. 2019年分数线学硕310分,专硕310分。2. 2018年报录比3. 2019年招生名额4. 专业课考试科目材料力学5. 专业课考试分析初试材料力学题型有填空题、选择题、简答题、绘图题、计算题、其中基础部分占60%,中等难度占40%,综合计算分析问题占50%,早些年份题目较难,近几年稍微降低了题目难度,加入了填空、判断这样的题型。复 ...
专业课考研经验 本站小编 免费考研网 2019-12-12学弟学妹们好,本文作者是今年上岸大连理工大学土木专业的学长,他的本科学校是兰州交通大学,初试总分是358,复试分数为278.4分。下面将为大家分享一下学长的考研经验。1. 整个考研期间的时间安排8月中旬9月底专业课看视频,做材料力学教材课后题,做真题;数学看张宇强化班视频,做张宇1000题;英语主要是背单词, ...
专业课考研经验 本站小编 小鹿学姐 2019-12-12大连理工大学2014年硕士生入学考试《传热学》试题回忆版第一部分(传热学及工程热力学名词解释10题加传热学简答题部分)
1.相对湿度,湿空气的焓值
2.熵的数学表达式及各项代表的物理意义
3.一级回热抽气量计算题。
4.多热源可逆热循环的热效率及与卡诺循环相比较的特点
5.热力系统及系统边界是什么?并各举 ...
专业课考研资料 本站小编 免费考研网 2019-11-29目录封面内容简介目录2009年大连理工大学876管理学考研真题2010年大连理工大学876管理学考研真题2011年大连理工大学876管理学考研真题(回忆版,不完整)2012年大连理工大学876管理学考研真题(回忆版,不完整)2013年大连理工大学876管理学考研真题(回忆版,不完整)2014年大连理 ...
辅导考试考研资料 本站小编 Free考研 2019-10-03 考研其实可以算作是人生选择中的一个大问题。考研战线绝大多数都在半年甚至一年,这是一项长期且艰巨的项目。有很多人因为各种各样的原因而坚持不下,中途放弃。因此我们更需要明确的动机与合理的规划以及绝对的行动力,才能保证你更坚实走到最后。
目标必不可少。我知道很多人在这个阶段非常迷茫,不知道该选择哪个 ...
专业课考研经验 本站小编 免费考研网 2019-06-02- 专业课考研资料 本站小编 免费考研网 2019-05-30
各位考生:现将大连理工大学2019年全国硕士研究生招生考试拟招生计划(不含单独考试计划,不含少数民族骨干、退役大学生士兵专项计划)公布,统一划线进入复试专业的拟招生计划统一公布。 ...
考研招生报名 本站小编 免费考研网 2019-05-29硕士研究生招生考试初试科目考试大纲科目名称:传热学Ⅱ一、考试的范围及目标《传热学》课程所包含的绪论、稳态热传导、非稳态热传导、导热问题的数值解法、对流换热的理论基础、单相对流换热的实验关联式、相变对流换热、热辐射基本定律和辐射特性、辐射换热的计算、传热过程分析及换热器的热计算等部分。要求考生理解和掌 ...
专业课大纲 本站小编 免费考研网 2019-05-29硕士研究生招生考试初试科目考试大纲科目名称:传热学Ⅰ一、考试的范围及目标《传热学》课程所包含的绪论、稳态热传导、非稳态热传导、导热问题的数值解法、对流换热的理论基础、单相对流换热的实验关联式、相变对流换热、热辐射基本定律和辐射特性、辐射换热的计算、传热过程分析及换热器的热计算等部分。要求考生理解和掌 ...
专业课大纲 本站小编 免费考研网 2019-05-29