2015西安邮电大学考研复试DSP数字信号处理真题答案解析(5)

本站小编 免费考研网/2019-11-29


相关话题/西安邮电大学

  • 领限时大额优惠券,享本站正版考研考试资料!
    大额优惠券
    优惠券领取后72小时内有效,10万种最新考研考试考证类电子打印资料任你选。涵盖全国500余所院校考研专业课、200多种职业资格考试、1100多种经典教材,产品类型包含电子书、题库、全套资料以及视频,无论您是考研复习、考证刷题,还是考前冲刺等,不同类型的产品可满足您学习上的不同需求。 ...
    本站小编 Free壹佰分学习网 2022-09-19
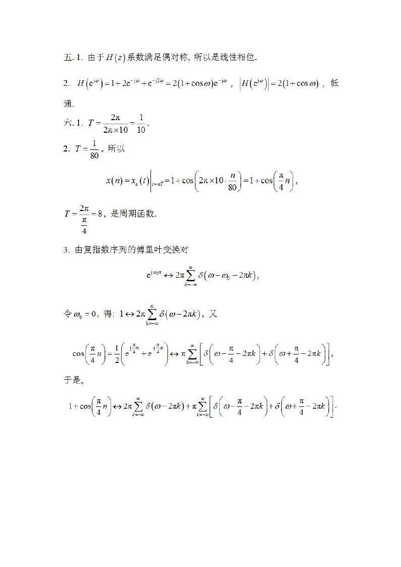
  • 2016西安邮电大学考研复试DSP数字信号处理试题全解全析
    本站小编 免费考研网 2019-11-28
  • 西安邮电大学经济与管理学院811微观经济学历年考研真题汇编
    目录封面内容简介目录2011年西安邮电学院811经济学考研真题2012年西安邮电学院811经济学考研真题2013年西安邮电大学811经济学考研真题2014年西安邮电大学811经济学考研真题2015年西安邮电大学811微观经济学考研真题内容简介本书收录了西安邮电大学经济与管理学院811微 ...
    本站小编 Free考研 2019-10-03
  • 西安邮电大学825微机原理与接口技术历年考研真题汇编
    目录封面内容简介目录2013年西安邮电大学825微机原理与接口技术考研真题2014年西安邮电大学825微机原理与接口技术考研真题2015年西安邮电大学825微机原理与接口技术考研真题2016年西安邮电大学825微机原理与接口技术考研真题2017年西安邮电大学825微机原理与接口技术考研真题内容简介本 ...
    本站小编 Free考研 2019-10-03
  • 西安邮电大学计算机学院827计算机网络[专业硕士]历年考研真题汇编
    目录封面内容简介目录2012年西安邮电大学计算机学院827计算机网络[专业硕士]考研真题(回忆版)2013年西安邮电大学计算机学院827计算机网络[专业硕士]考研真题(回忆版)2014年西安邮电大学计算机学院827计算机网络[专业硕士]考研真题(回忆版)2015年西安邮电大学计算机学院827计算机网 ...
    本站小编 Free考研 2019-10-03
  • 西安邮电大学826数据结构历年考研真题汇编
    目录封面内容简介目录2013年西安邮电大学826数据结构考研真题2014年西安邮电大学826数据结构考研真题2015年西安邮电大学826数据结构考研真题2016年西安邮电大学826数据结构考研真题2017年西安邮电大学826数据结构考研真题内容简介本书收录了西安邮电大学826数据结构& ...
    本站小编 Free考研 2019-10-03
  • 2019年西安邮电大学考研复试分数线及招生计划
    从西安邮电大学研究生院获悉,该校全日制拟招生计划30人,非全日制招生计划23人。(含退役大学生士兵专项计划2人)。报考我校会计专业学位硕士研究生(报考专业代码:125300),符合国家A类考试单科分数且初试总分195分(含)以上。西安邮电大学2019年硕士研究生招生进入复试的初试成绩基本要求 ...
    本站小编 免费考研网 2019-05-29
  • 2019年西安邮电大学部分学科专业考研调剂信息
    各位考生:现将我校部分工学、工程、理学、经济学、管理学调剂复试相关工作通知如下:1.缺额情况 学科专业 缺额 ...
    本站小编 FreeKaoyan 2019-03-29
  • 西安邮电大学2019年硕士研究生经济学、MBA、翻译调剂信息
    各位考生: 现将我校2019年经济学、MBA、翻译调剂复试相关工作通知如下: 1.缺额情况 学科专业 调剂额 ...
    本站小编 FreeKaoyan 2019-03-23
  • 2019年西安邮电大学专业型硕士(MBA)考研调剂信息公告
    各位考生:根据西安邮电大学2019年硕士研究生招生计划以及初试成绩的实际情况,决定对专业型硕士研究生(MBA)接受调剂预报名申请。欢迎达到全国A类分数线标准、并且符合我校报考条件的全国各地优秀考生选择预调剂我校攻读硕士学位(招生计划详见《西安邮电大学2019年硕士研究生招生专业目录》)。预报名在国家 ...
    本站小编 FreeKaoyan 2019-03-20
  • 西安邮电大学2018年考研部分专业计划
    西安邮电大学2018年考研部分专业计划 序号 招生学科专业(类别、领域) 代码及名称 ...
    本站小编 免费考研网 2018-11-04
  • 2019西安邮电大学硕士研究生招生简章
    2019年西安邮电大学考研招生简章什么时候公布?根据历年招生简章发布时间推算,预计西安邮电大学2019年硕士研究生招生简章八九月公布。届时,中国考研网将在第一时间更新本页面,请收藏本页,及时关注!为方便同学们更好的备战2019考研,大家可进入西安邮电大学研究生院,对西安邮电大学往年的报考条件、招生人 ...
    本站小编 免费考研网 2018-11-04
  • 2019年西安邮电大学硕士研究生招生专业目录
    2019年西安邮电大学考研招生专业目录什么时候公布?根据历年招生简章发布时间推算,预计西安邮电大学2019年硕士研究生招生专业目录八九月公布。届时,中国考研网将在第一时间更新本页面,请收藏本页,及时关注!为方便同学们更好的备战2019考研,大家可进入西安邮电大学研究生院,对西安邮电大学往年的报考条件 ...
    本站小编 免费考研网 2018-11-04
  • 西安邮电大学2018年考研部分专业计划
    西安邮电大学2018年考研部分专业计划 序号 招生学科专业(类别、领域) 代码及名称 ...
    本站小编 免费考研网 2018-11-03
  • 西安邮电大学2017届毕业生就业质量年度报告
    2017届研究生就业率为96.3%,本科生就业率为92.83%,专科生就业率为100%。就业的研究生中有68.26%的学生签订就业协议,1.09%的学生签订劳动合同,升学和以其他录用形式就业的学生占26.51%,自主创业的学生占0.43%,仅3.7%的学生未就业。本专科毕业生中有68.00%的学生签 ...
    本站小编 免费考研网 2018-11-03
  • 西安邮电大学2018年全日制MPAcc录取名单、复试线194
    2018年会计硕士拟录取名单公示.pdf(35名,含专项计划2名) 附件: 西安邮电大学.经济与管理学院2018年会计硕士研究生一志愿考生复试名单一、招生计划及复试人数全日制MPAcc招生计划35人(含退役大学生士兵专项计划2人),按照120%的比例差额复试,最终确定的复试人数为46人,详见附件 ...
    本站小编 免费考研网 2018-10-28