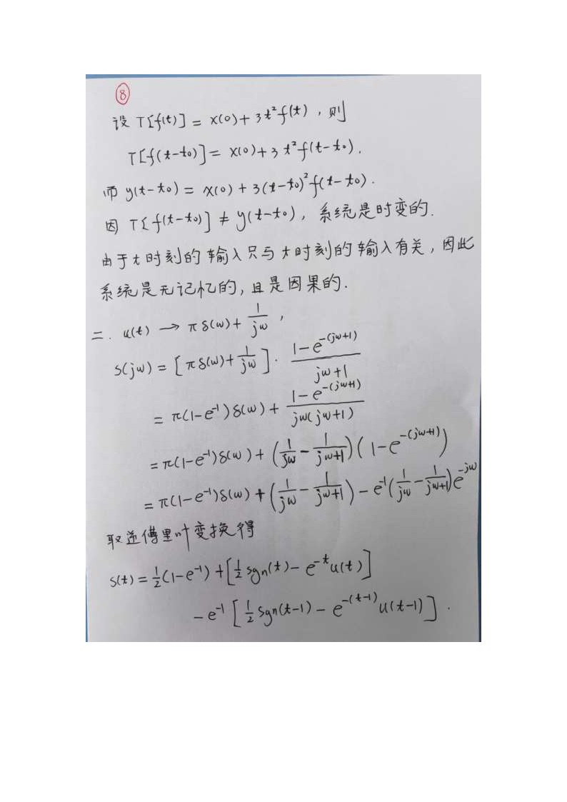
2018中山大学考研904信号系统真题答案解析(11)

本站小编 免费考研网/2019-11-29


相关话题/中山大学

  • 领限时大额优惠券,享本站正版考研考试资料!
    大额优惠券
    优惠券领取后72小时内有效,10万种最新考研考试考证类电子打印资料任你选。涵盖全国500余所院校考研专业课、200多种职业资格考试、1100多种经典教材,产品类型包含电子书、题库、全套资料以及视频,无论您是考研复习、考证刷题,还是考前冲刺等,不同类型的产品可满足您学习上的不同需求。 ...
    本站小编 Free壹佰分学习网 2022-09-19
  • 2017年中山大学信号系统考研906试题答案解析
    本站小编 免费考研网 2019-11-29
  • 中山大学岭南学院435保险专业基础[专业硕士]历年考研真题汇编
    目录封面内容简介目录2017年中山大学岭南学院435保险专业基础考研真题2018年中山大学岭南学院435保险专业基础考研真题2019年中山大学岭南学院435保险专业基础考研真题内容简介本书收录了中山大学岭南学院435保险专业基础[专业硕士]2017~2019年的完整版考研真题,所有真题均不提供答案, ...
    本站小编 Free考研 2019-10-03
  • 中山大学国际翻译学院211翻译硕士英语[专业硕士]历年考研真题及详解
    目录封面内容简介目录2010年中山大学国际翻译学院211翻译硕士英语考研真题及详解2011年中山大学国际翻译学院211翻译硕士英语考研真题及详解2012年中山大学国际翻译学院211翻译硕士英语考研真题及详解2013年中山大学国际翻译学院211翻译硕士英语考研真题及详解2014年中山大学国际翻译学院2 ...
    本站小编 Free考研 2019-10-03
  • 中山大学外国语学院241英语(二外)历年考研真题及详解
    目录封面内容简介目录2003年中山大学外国语学院221英语考研真题及详解2005年中山大学外国语学院221英语考研真题及详解2006年中山大学外国语学院221英语考研真题及详解2007年中山大学外国语学院221英语考研真题及详解2008年中山大学外国语学院221英语考研真题及详解2009年中山大学外 ...
    本站小编 Free考研 2019-10-03
  • 中山大学口腔医学综合历年考研真题汇编
    目录封面内容简介目录2005年中山大学790口腔综合考研真题(不完整)2006年中山大学377口腔综合考研真题2007年中山大学758口腔综合考研真题2008年中山大学645口腔综合考研真题2009年中山大学663口腔综合考研真题2010年中山大学344口腔综合考研真题2011年中山大学352口腔综 ...
    本站小编 Free考研 2019-10-03
  • 中山大学352口腔综合[专业硕士]历年考研真题汇编
    目录封面内容简介目录2010年中山大学344口腔综合[专业硕士]考研真题2011年中山大学352口腔综合[专业硕士]考研真题2012年中山大学352口腔综合[专业硕士]考研真题2013年中山大学352口腔综合[专业硕士]考试真题2014年中山大学352口腔综合[专业硕士]考研真题2015年中山大学3 ...
    本站小编 Free考研 2019-10-03
  • 中山大学349药学综合历年考研真题汇编
    目录封面内容简介目录2010年中山大学653药学综合(A)考研真题2010年中山大学657药学综合(B)考研真题2011年中山大学349药学综合考研真题2012年中山大学349药学综合考研真题2013年中山大学349药学综合考研真题2014年中山大学349药学综合考研真题2015年中山大学349药学 ...
    本站小编 Free考研 2019-10-03
  • 中山大学药学综合A历年考研真题汇编
    目录封面内容简介目录2010年中山大学653药学综合(A)考研真题2011年中山大学661药学综合(A)考研真题2012年中山大学660药学综合(A)考研真题2013年中山大学666药学综合(A)考研真题2014年中山大学672药学综合(A)考研真题2015年中山大学672药学综合(A)考研真题20 ...
    本站小编 Free考研 2019-10-03
  • 中山大学308护理综合历年考研真题汇编
    目录封面内容简介目录2010年中山大学308护理综合考研真题2011年中山大学308护理综合考研真题2012年中山大学308护理综合考研真题2013年中山大学308护理综合考研真题2014年中山大学308护理综合考研真题2015年中山大学308护理综合考研真题2016年中山大学308护理综合考研真题 ...
    本站小编 Free考研 2019-10-03
  • 中山大学353卫生综合历年考研真题汇编
    目录封面内容简介目录2011年中山大学353卫生综合考研真题2012年中山大学353卫生综合考研真题2013年中山大学353卫生综合考研真题2014年中山大学353卫生综合考研真题2015年中山大学353卫生综合考研真题2016年中山大学353卫生综合考研真题2017年中山大学353卫生综合考研真题 ...
    本站小编 Free考研 2019-10-03
  • 中山大学基础中医综合历年考研真题汇编
    目录封面内容简介目录2017年中山大学682基础中医综合考研真题2018年中山大学682基础中医综合考研真题2019年中山大学687基础中医综合考研真题内容简介本书收录了中山大学基础中医综合近些年的考研真题(注意:部分年份的科目代码会有变动,各年真题的科目代码也可能不一样 ...
    本站小编 Free考研 2019-10-03
  • 中山大学基础医学综合历年考研真题汇编
    目录封面内容简介目录2010年中山大学662基础医学综合考研真题2011年中山大学669基础医学综合考研真题2012年中山大学667基础医学综合考研真题2013年中山大学672基础医学综合考研真题2014年中山大学679基础医学综合考研真题2015年中山大学679基础医学综合考研真题2016年中山大 ...
    本站小编 Free考研 2019-10-03
  • 中山大学生命科学学院药分综合历年考研真题汇编
    目录封面内容简介目录2010年中山大学649药分综合考研真题2011年中山大学655药分综合考研真题2012年中山大学655药分综合考研真题2013年中山大学660药分综合考研真题2014年中山大学666药分综合考研真题2015年中山大学666药分综合考研真题2016年中山大学661药分综合考研真题 ...
    本站小编 Free考研 2019-10-03
  • 中山大学801微观经济学与宏观经济学历年考研真题视频讲解【12小时高清视频】
    目录封面内容简介目录2009年中山大学801微观经济学与宏观经济学考研真题综合分析[视频详解]2009年中山大学801微观经济学与宏观经济学考研真题2009年中山大学801微观经济学与宏观经济学考研真题详解[视频详解]2010年中山大学801微观经济学与宏观经济学考研真题综合分析[视频详解]2010 ...
    本站小编 Free考研 2019-10-03
  • 中山大学马克思主义学院专业综合基础(当代中国马克思主义、思想政治教育)历年考研真题汇编(含部分答案)
    目录封面内容简介目录2003年中山大学457思想政治教育理论与方法考研真题2004年中山大学457思想政治教育理论与方法考研真题2005年中山大学457思想政治教育理论与方法考研真题2006年中山大学456思想政治教育理论与方法考研真题2007年中山大学426思想政治教育理论与方法考研真题2008年 ...
    本站小编 Free考研 2019-10-03