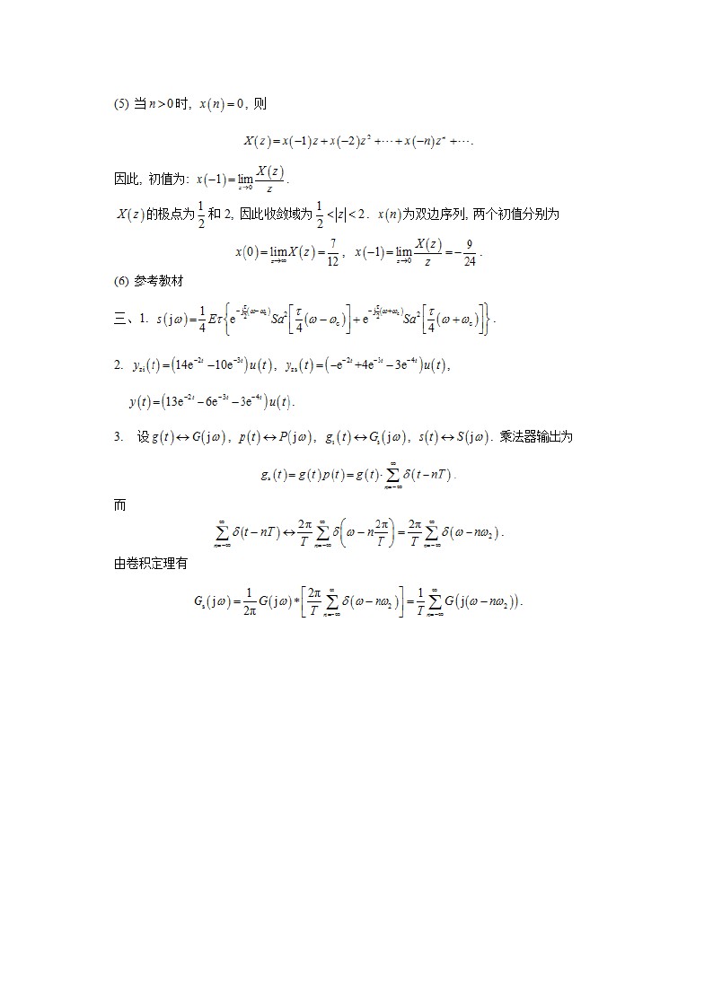
2015宁波大学考研初试信号系统与DSP数字信号处理试题答案解析(13)

本站小编 免费考研网/2019-11-29


相关话题/宁波大学

  • 领限时大额优惠券,享本站正版考研考试资料!
    大额优惠券
    优惠券领取后72小时内有效,10万种最新考研考试考证类电子打印资料任你选。涵盖全国500余所院校考研专业课、200多种职业资格考试、1100多种经典教材,产品类型包含电子书、题库、全套资料以及视频,无论您是考研复习、考证刷题,还是考前冲刺等,不同类型的产品可满足您学习上的不同需求。 ...
    本站小编 Free壹佰分学习网 2022-09-19
  • 2019宁波大学信号与系统912考研试题答案全解全析
    本站小编 免费考研网 2019-11-28
  • 宁波大学医学院750临床医学综合历年考研真题汇编
    目录封面内容简介目录2017年宁波大学750临床医学综合考研真题(A卷)2017年宁波大学750临床医学综合考研真题(B卷)2018年宁波大学750临床医学综合考研真题(B卷)2019年宁波大学750临床医学综合考研真题(B卷)内容简介本书收录了宁波大学医学院750临床医学综合&rdq ...
    本站小编 Free考研 2019-10-03
  • 宁波大学医学院751预防医学历年考研真题汇编(含部分答案)
    目录封面内容简介目录2007年宁波大学618预防医学考研真题(A卷)及答案2008年宁波大学618预防医学考研真题(A卷)及答案2009年宁波大学618预防医学考研真题(A卷)及答案2010年宁波大学618预防医学考研真题(A卷)2011年宁波大学618预防医学考研真题(A卷)2012年宁波大学61 ...
    本站小编 Free考研 2019-10-03
  • 宁波大学商学院434国际商务专业基础[专业硕士]历年考研真题汇编(含部分答案)
    目录封面内容简介目录2011年宁波大学商学院434国际商务专业基础考研真题2011年宁波大学商学院434国际商务专业基础考研真题及详解2012年宁波大学商学院434国际商务专业基础考研真题2012年宁波大学商学院434国际商务专业基础考研真题及详解2013年宁波大学商学院434国际商务专业基础考研真 ...
    本站小编 Free考研 2019-10-03
  • 2020年宁波大学建筑工程与环境学院923材料力学考研全套资料
    目录说明:本全套资料免费下载,共包括5种电子书。使用全套资料密码激活后,全套资料里的所有电子书、所有题库均可使用。1.历年考研真题汇编[电子书]宁波大学建筑工程与环境学院923材料力学历年考研真题汇编[免费下载]2.指定教材笔记和课后习题详解[电子书]孙训方《材料力学》(第5版)笔记和课后习题(含考 ...
    本站小编 Free考研 2019-10-03
  • 2020年宁波大学机械工程与力学学院892机械原理考研全套资料
    目录说明:本全套资料免费下载,共包括5种电子书。使用全套资料密码激活后,全套资料里的所有电子书、所有题库均可使用。1.历年考研真题[电子书]宁波大学机械工程与力学学院892机械原理历年考研真题汇编[免费下载]2.指定教材笔记和课后习题详解[电子书]郑文纬《机械原理》(第7版)笔记和课后习题(含考研真 ...
    本站小编 Free考研 2019-10-03
  • 宁波大学机械工程与力学学院892机械原理历年考研真题汇编
    目录封面内容简介目录2008年宁波大学815机械原理考研真题2009年宁波大学815机械原理考研真题2010年宁波大学815机械原理考研真题2011年宁波大学815机械原理考研真题2012年宁波大学815机械原理考研真题2013年宁波大学892机械原理考研真题2014年宁波大学892机械原理考研真题 ...
    本站小编 Free考研 2019-10-03
  • 宁波大学建筑工程与环境学院923材料力学历年考研真题汇编
    目录封面内容简介目录2010年宁波大学829材料力学考研真题2011年宁波大学829材料力学考研真题2012年宁波大学829材料力学考研真题2013年宁波大学923材料力学考研真题2014年宁波大学923材料力学考研真题2015年宁波大学923材料力学考研真题2016年宁波大学923材料力学考研真题 ...
    本站小编 Free考研 2019-10-03
  • 宁波大学海洋学院941分子生物学历年考研真题汇编(含部分答案)
    目录封面内容简介目录2005年宁波大学443分子生物学考研真题(A卷)2006年宁波大学443分子生物学考研真题(A卷)2007年宁波大学827现代分子生物学、830分子生物学考研真题及答案(A卷)2008年宁波大学827现代分子生物学考研真题及答案(A卷)2009年宁波大学827现代分子生物学、8 ...
    本站小编 Free考研 2019-10-03
  • 宁波大学海洋学院741生物化学历年考研真题汇编(含部分答案)
    目录封面内容简介目录2003年宁波大学421生物化学考研真题(A卷)2004年宁波大学421生物化学考研真题(A卷)2005年宁波大学421生物化学考研真题(A卷)2006年宁波大学421生物化学考研真题(A卷)2007年宁波大学615生物化学考研真题(A卷)2008年宁波大学615生物化学考研真题 ...
    本站小编 Free考研 2019-10-03
  • 2020年宁波大学721高等数学考研全套资料
    目录说明:本全套资料免费下载,共包括8种电子书。使用全套资料密码激活后,全套资料里的所有电子书、所有题库均可使用。1.历年考研真题汇编[电子书]宁波大学721高等数学历年考研真题汇编[免费下载]2.经典教材笔记和课后习题详解[电子书]同济大学数学系《高等数学》(第7版)(上册)笔记和课后习题(含考研 ...
    本站小编 Free考研 2019-10-03
  • 2020年宁波大学理学院871高等代数考研全套资料
    目录说明:本全套资料免费下载,共包括7种电子书。使用全套资料密码激活后,全套资料里的所有电子书、所有题库均可使用。1.历年考研真题汇编[电子书]宁波大学理学院871高等代数历年考研真题汇编[免费下载]2.指定教材笔记和课后习题详解[电子书]北京大学数学系《高等代数》(第4版)笔记和课后习题(含考研真 ...
    本站小编 Free考研 2019-10-03
  • 2020年宁波大学理学院672普通物理(电磁学、光学)考研全套资料
    目录说明:本全套资料免费下载,共包括6种电子书。使用全套资料密码激活后,全套资料里的所有电子书、所有题库均可使用。1.历年考研真题[电子书]宁波大学理学院672普通物理(电磁学、光学)历年考研真题汇编(含部分答案)[免费下载]2.经典教材笔记和课后习题详解[电子书]程守洙《普通物理学》(第6版)(上 ...
    本站小编 Free考研 2019-10-03
  • 2020年宁波大学理学院671数学分析考研全套资料
    目录说明:本全套资料免费下载,共包括8种电子书。使用全套资料密码激活后,全套资料里的所有电子书、所有题库均可使用。1.历年考研真题汇编[电子书]宁波大学理学院671数学分析历年考研真题汇编[免费下载]2.经典教材笔记和课后习题详解[电子书]华东师范大学数学系《数学分析》(第4版)(上册)笔记和课后习 ...
    本站小编 Free考研 2019-10-03
  • 2020年宁波大学建筑工程与环境学院922结构力学考研全套资料
    目录说明:本全套资料免费下载,共包括10种电子书。使用全套资料密码激活后,全套资料里的所有电子书、所有题库均可使用。1.历年考研真题[电子书]宁波大学建筑工程与环境学院922结构力学历年考研真题汇编[免费下载]2.指定教材笔记和课后习题详解[电子书]龙驭球《结构力学Ⅰ》(第3版)笔记和课后习题(含考 ...
    本站小编 Free考研 2019-10-03