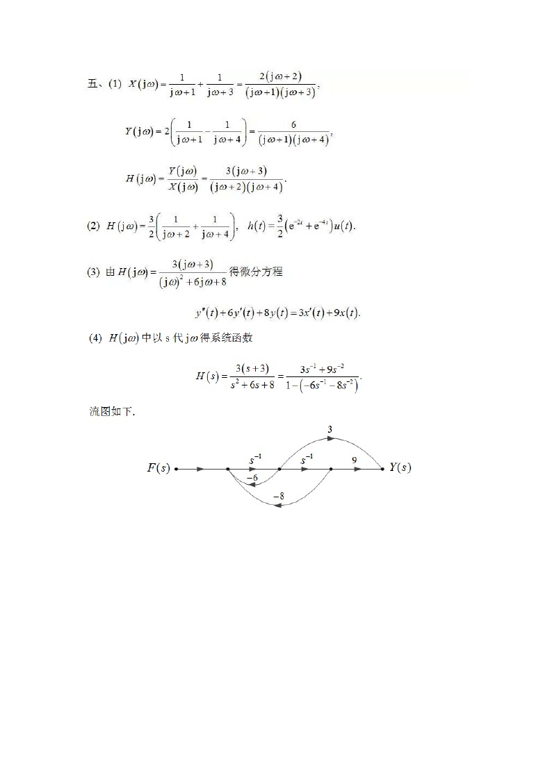
2019杭州电子科技大学考研信号系统与信号处理试题答案全解全析(6)

本站小编 免费考研网/2019-11-28


相关话题/