2017运筹学复试真题回忆
一、、建立数学模型。
已知各个成分的混合百分比和费用,求建立线性规划模型,满足费用最低
二(此题数字有变动,大体是这样)、有甲乙丙三个城市,每年分别需要煤炭320,250,350万t,由A B 两个煤矿负责供应,已知煤矿年产量A为400万t,B为450万t,从两煤矿至各城市运价如下表所示,由于需求大雨产量,经过协商平衡,甲城市必要时可少供应0到30万t,乙城市需求量必须全部满足,丙城市需求量不得少于270万t,是求将甲乙两煤矿全部分配出去,满足上述条件又使总运费为最低的调运方案。
|
甲 |
乙 |
丙 |
|
|
A |
15 |
18 |
22 |
|
B |
21 |
25 |
16 |
三、
四、.某厂使用A、B两种原料生产甲、乙、丙三种产品,有关数据见下表:
|
|
A B |
生产成本(万元/吨) |
销售价格(万元/吨) |
|
甲 乙 丙 |
1.0 0.5 0.4 0.6 0.6 0.5 |
8 5 18 |
30 20 35 |
|
原料成本(万元/吨) |
5 7 |
|
|
|
原料可用数量(吨) |
350 460 |
|
|
(1)请写出使总销售利润最大的线性规划模型(其中甲、乙、丙产产量分别记为x1,x2,x3,约束依A,B原料次序):
(2)写出此问题的对偶规划模型
五、某服装厂制造大、中、小三种尺寸的防寒服,所用资源有尼龙绸、尼龙棉、劳动力和缝纫设备。缝制一件防寒服所需各种资源的数量如表(单位已适当给定)。不考虑固定费用,则每种防寒服售出一件所得利润分别为10、12、13元,可用资源分别为:尼龙绸1500米,尼龙棉1000米,劳动力4000,设备3000小时。此外,每种防寒服不管缝制多少件,只要做都要支付一定的固定费用:小号为100元,中号为150元,大号为200元。现欲制定一生产计划使获得的利润为最大,请写出其数学模型。
|
型号 资源 |
小 |
中 |
大 |
|
尼龙绸 |
1.6 |
1.8 |
1.9 |
|
尼龙棉 |
1.3 |
1.5 |
1.6 |
|
劳动力 |
4 |
4.5 |
5 |
|
缝纫设备 |
2.8 |
3.8 |
4.2 |
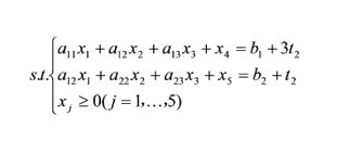
六、已知线性规划问题
max z = (c1+t1) x1+c2x2+c3x3+0x4+0x5

当t1=t2=0时,用单纯形法求得最终表如下:
|
X1 |
X2 |
X3 |
X4 |
X5 |
|
|
X3 5/2 |
0 |
1/2 |
1 |
1/2 |
0 |
|
X4 5/2 |
1 |
1/2 |
0 |
1/6 |
1/3 |
|
Cj-Zj |
0 |
4 |
0 |
4 |
2 |
要求:1.确定c1,c2,c3,b1,b2,a11,a12,a13,a21,a22,a23的值;
2.当t2=0时,t1在什么范围内变化上述最优解不变;
