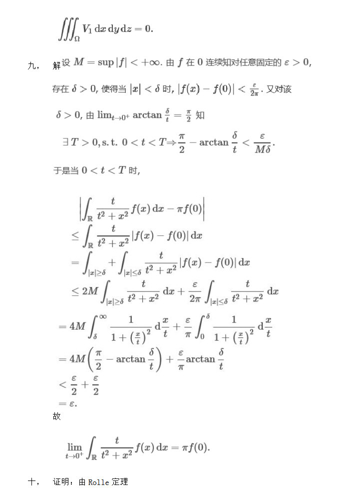
北京大学2014年数学分析考研试题参考解答(4)
本站小编 免费考研网/2018-03-04
相关话题/数学分析
2016-2017年西南交通大学数学分析复试考研试题
专业课考研资料 本站小编 免费考研网 2018-02-252012年湘潭大学数学分析考研真题
专业课考研资料 本站小编 免费考研网 2018-02-25上海交通大学2005年考研真题-数学分析
专业课考研经验 本站小编 FreeKaoyan 2018-01-23中国石油大学(华东)2006年考研真题-数学分析
专业课考研经验 本站小编 FreeKaoyan 2018-01-23中国石油大学(华东)2005年考研真题-数学分析
专业课考研经验 本站小编 FreeKaoyan 2018-01-23河北工业大学2007年考研真题-数学分析
专业课考研经验 本站小编 FreeKaoyan 2018-01-23河北工业大学2006年考研真题-数学分析
专业课考研经验 本站小编 FreeKaoyan 2018-01-23燕山大学2007年考研真题-数学分析
专业课考研经验 本站小编 FreeKaoyan 2018-01-23南京农业大学2007年考研真题-数学分析
专业课考研经验 本站小编 FreeKaoyan 2018-01-23中国科学技术大学2010年623数学分析考研试题(回忆版)
1, f(x)无穷区间上一致连续,0专业课考研经验 本站小编 FreeKaoyan 2018-01-23北京大学2007年考研真题-数学分析
2d09de61c0bb527ada0d5f563c89b43e.rar2d09de61c0bb527ada0d5f563c89b43e.rar(13.15 KB) ...专业课考研经验 本站小编 FreeKaoyan 2018-01-23上海交通大学2006年考研真题-数学分析
专业课考研经验 本站小编 FreeKaoyan 2018-01-23天津工业大学2007年考研真题-数学分析
天津工业大学2007年考研专业课试卷数学分析上传的附件d3fdcd653850233fe1a61678cf091e9e.rar(29.86KB) ...专业课考研经验 本站小编 FreeKaoyan 2018-01-23青岛科技大学2007年考研真题-数学分析
青岛科技大学2007年考研专业课试卷数学分析上传的附件c907d69c3b89a442aa6f3fdbedf77a02.rar(31.89KB) ...专业课考研经验 本站小编 FreeKaoyan 2018-01-23中国地质大学(武汉)2007年考研真题-数学分析
专业课考研经验 本站小编 FreeKaoyan 2018-01-23

