根据一志愿考生报考情况,中国科学院成都有机化学研究所拟在化学工程、高分子化学与物理、物理化学、应用化学、有机化学等专业接收少量调剂生。详情如下:一、申请调剂(一)调剂要求本人所学专业及报考专业均与申请调剂专业一致或相近;初试科目与拟调入专业初试科目相同或相近,其中统考科目原则上应相同;学术型硕士英语 ...
考研调剂信息 本站小编 FreeKaoyan 2018-02-12招生人数:2招生简介:韩福忠,男,1982年出生,博士,博士后,副教授,有机化学专业硕士生导师。2016年入选黑龙江省普通本科高等学校青年创新人才培养计划。主要经历:2008年9月-2011年7月,中科院成都有机化学研究所,攻读理学博士;2011年7月-2013年7月,中科院大连化学物理研究所,博士 ...
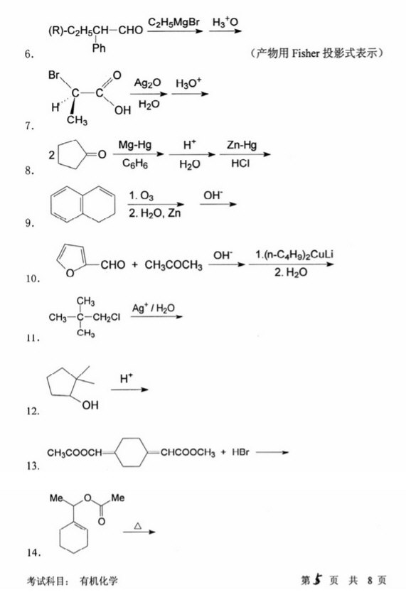
考研调剂信息 本站小编 FreeKaoyan 2018-02-11徐寿昌编《有机化学》第二版习题参考答案
第二章 烷烃
1、用系统命名法命名下列化合物
(1)2,3,3,4-四甲基戊烷 (2)3-甲基-4-异丙基庚烷 (3)3,3,-二甲基戊烷
(4)2,6-二甲基-3,6-二乙基辛烷 (5)2,5-二甲基庚烷 (6)2-甲基-3-乙基己烷
(7)2,2,4-三甲基戊烷 (8)2-甲基-3-乙基庚烷
2、 ...
专业课考研资料 本站小编 免费考研网 2018-02-10招生人数:3招生简介:湖南工业大学招收调剂研究生(高分子材料、包装工程、有机化学)包装与材料工程学院是湖南工业大学最具特色的二级学院之一,具有先进包装材料研发技术国家地方联合工程研究中心、先进包装材料与技术湖南省2011协同创新中心、&ldqu ...
考研调剂信息 本站小编 FreeKaoyan 2018-02-06招生人数:6招生简介:我们课题组招收2018年有机化学硕士调剂生5-6名,要求成绩达到国家线(A类),报考985高校和中科院有机化学专业的考生优先考虑,非诚勿扰!热忱欢迎考场发挥失常,但有志于科研事业的年轻学子加入到我们课题组!我们看重的是学生锐意进取的拼搏精神,而不是他们的出身和基础--态度决定一 ...
考研调剂信息 本站小编 FreeKaoyan 2018-02-06- 专业课考研经验 本站小编 FreeKaoyan 2018-01-23
- 专业课考研经验 本站小编 FreeKaoyan 2018-01-23
- 专业课考研经验 本站小编 FreeKaoyan 2018-01-23
- 专业课考研经验 本站小编 FreeKaoyan 2018-01-23
第一题:命名,不是很怪,但是都比较复杂,具体题目不记得,只记得有一个“环己醇的稳定构象”第二题:选择,也就是差不多排序,酸碱性、亲核性、反应速率……总之考察的很细,平时多积累应该没问题。没有什么不会做的,所以我印象不深,抱歉。第三题,完成反应,这是我最拿手的,我首先告诉要考的各位学弟学妹,这道题考的 ...
专业课考研经验 本站小编 FreeKaoyan 2018-01-23一.选择题(20题)(1)林德拉试剂的组成(2)物质R,S构型判断(3)SN1,SN2反应的区分与速率比较(4)2009年诺贝尔化学奖研究方向(5)几种物质IR波数大小比较(炔,烯等)(6)几种不同结构的酮的反应活性(7)区分一对旋光异构体(名字忘记了)所用到四大谱中哪一个较合适(8)几种环酮,共轭 ...
专业课考研经验 本站小编 FreeKaoyan 2018-01-23- 专业课考研经验 本站小编 FreeKaoyan 2018-01-23
天津工业大学2007年考研专业课试卷有机化学上传的附件770fe7447a9244924260a74d18f6ce45.rar(72.83KB) ...
专业课考研经验 本站小编 FreeKaoyan 2018-01-23青岛科技大学2007年考研专业课试卷有机化学上传的附件641a3c2be573e1b82731a79ac82d71e0.rar(145.51KB) ...
专业课考研经验 本站小编 FreeKaoyan 2018-01-23- 专业课考研经验 本站小编 FreeKaoyan 2018-01-23