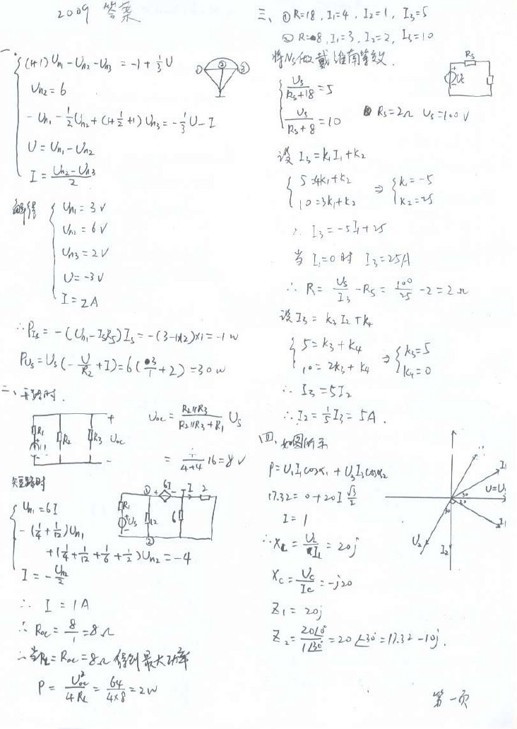
天津大学2909电路考研真题详细答案
本站小编 免费考研网/2018-02-06
相关话题/电路
2018年哈工大航天学院微电子学与固体电子学和集成电路工程专业复试指导
根据教育部关于加强硕士研究生招生复试工作的指导意见及学校有关要求,微电子学与固体电子学和集成电路工程2018年硕士研究生招生复试指导确定如下。一、复试比例及主要内容1、复试由笔试和面试两部分组成,外国语听力考试在面试中进行。复试的总成绩为280分,其中笔试200分,面试80分。2、复试笔试科目(1) ...考研复试信息 本站小编 免费考研网 2018-02-062009年天津大学电路考研试题
专业课考研资料 本站小编 免费考研网 2018-02-062012年天津大学电路考研试题
专业课考研资料 本站小编 免费考研网 2018-02-061996-2006天津大学电路考研试题合集
专业课考研资料 本站小编 免费考研网 2018-02-06兰州交通大学2007年电路考研真题
专业课考研资料 本站小编 免费考研网 2018-02-05福州大学2013年866电路与系统考研真题
专业课考研资料 本站小编 免费考研网 2018-01-28福州大学2014年866电路与系统考研真题
专业课考研资料 本站小编 免费考研网 2018-01-28福州大学2017年866电路与系统考研真题
专业课考研资料 本站小编 免费考研网 2018-01-28上海交通大学2006年考研真题-电路基本理论(含电路设计)
专业课考研经验 本站小编 FreeKaoyan 2018-01-23上海交通大学2005年考研真题-数字集成电路设计
专业课考研经验 本站小编 FreeKaoyan 2018-01-23上海交通大学2005年考研真题-集成电路工艺基础
专业课考研经验 本站小编 FreeKaoyan 2018-01-23上海交通大学2005年考研真题-电路基本理论(含电路实验)
专业课考研经验 本站小编 FreeKaoyan 2018-01-23河北工业大学2007年考研真题-电路
专业课考研经验 本站小编 FreeKaoyan 2018-01-23河北工业大学2007年考研真题-测控电路A
专业课考研经验 本站小编 FreeKaoyan 2018-01-23河北工业大学2006年考研真题-电路
专业课考研经验 本站小编 FreeKaoyan 2018-01-23

