福州大学2014年866电路与系统考研真题(4)

本站小编 免费考研网/2018-01-28


相关话题/电路与系统

  • 领限时大额优惠券,享本站正版考研考试资料!
    大额优惠券
    优惠券领取后72小时内有效,10万种最新考研考试考证类电子打印资料任你选。涵盖全国500余所院校考研专业课、200多种职业资格考试、1100多种经典教材,产品类型包含电子书、题库、全套资料以及视频,无论您是考研复习、考证刷题,还是考前冲刺等,不同类型的产品可满足您学习上的不同需求。 ...
    本站小编 Free壹佰分学习网 2022-09-19
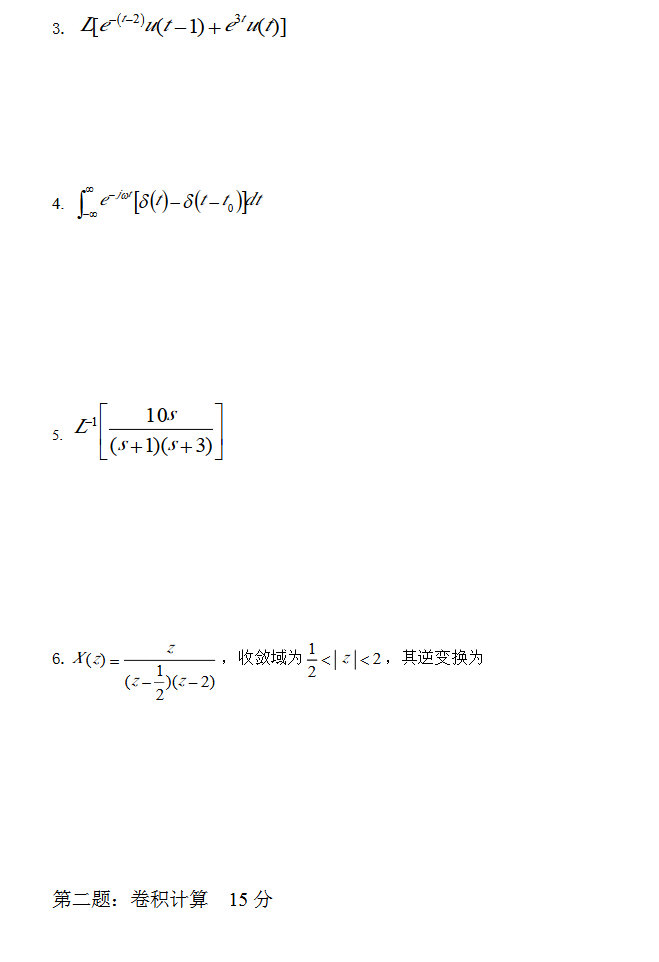
  • 福州大学2017年866电路与系统考研真题
    本站小编 免费考研网 2018-01-28
  • 华中科技大学2004年考研真题-综合考试(电路与系统)
    本站小编 FreeKaoyan 2018-01-22
  • 考研非统考专业介绍:电路与系统
    一、专业介绍  1、学科简介  电路与系统是属于工学,是电子科学与技术之下的一个二级学科硕士点,该学科研究电路与系统的理论、分析、测试、设计和物理实现。它是信息与通信工程和电子科学与技术这两个学科之间的桥梁,又是信号与信息处理、通信、控制、计算机乃至电力、电子等诸方面研究和开发的理论与技术基础。因为 ...
    本站小编 免费考研网 2018-01-07
  • 考研非统考专业介绍:电路与系统
    一、专业介绍  1、学科简介  电路与系统是属于工学,是电子科学与技术之下的一个二级学科硕士点,该学科研究电路与系统的理论、分析、测试、设计和物理实现。它是信息与通信工程和电子科学与技术这两个学科之间的桥梁,又是信号与信息处理、通信、控制、计算机乃至电力、电子等诸方面研究和开发的理论与技术基础。因为 ...
    本站小编 免费考研网 2017-10-07
  • 兰州交通大学研究生专业介绍:电路与系统
    电路与系统研究方向:计算电磁学(电机电磁场﹑微波电磁场﹑光电理论与技术),EDA 技术及应用( CPLD/FPGA 开发; DSP 技术应用等),电路与系统的可靠性研究(智能信号处理与识别 ﹑ 现代控制系统网络安全理论与技术),新型电路的分析与设计( VLSI 电路与系统设计,嵌入式系统ARM ﹑ ...
    本站小编 免费考研网 2017-06-08
  • 东北师范大学研究生专业介绍:电路与系统
    一、培养目标:掌握数字、摸拟、线性和非线性电路与系统,计算智能,模式识别的前沿理论与技术,现代信号处理理论及技术,电路与系统的计算机辅助设计,现代信息与通信网络的理论与技术;在本研究方向有系统和深入的专门知识与实验技术;较为熟练的掌握一门外国语,能阅读本专业的外文资料;具备独立从事科学研究工作的能力 ...
    本站小编 免费考研网 2017-06-08
  • 太原科技大学硕士专业介绍:电路与系统
    电路与系统(080902)学科门类:工学(08)  一级学科:电子科学与技术(0809)学科概况电路与系统学科研究电路与系统的理论、分析、测试、设计和物理实现。它是信息与通信工程和电子科学与技术这两个学科之间的桥梁,又是信号与信息处理、通信、控制、计算机乃至电力、电子等诸方面研究和开发的理论与技术基 ...
    本站小编 免费考研网 2017-06-08
  • 浙江大学硕士研究生专业介绍:电路与系统学
    浙江大学研究生电路与系统学科专业介绍如下:电路与系统学科集成电路产业是信息产业的基础,本学科紧紧围绕集成电路设计这一重点展开,学科的发展宗旨是研发先进的超大规模集成电路系统及其设计工具,并为我国正在起飞的集成电路产业培养急需的高级工程型研究人才。具体研发课题以七校联合国际SOC研究中心、浙江大学SO ...
    本站小编 免费考研网 2016-12-30
  • 合肥工业大学硕士研究生专业介绍:电路与系统
    本学科在大规模集成电路设计与测试、通信电路与系统、信号检测系统等研究领域做出了卓有成效的工作。近年来,承担并完成国家863计划、国家自然科学基金 等各类纵、横向课题40余项,获科技奖励3项,发表论文数280余篇,出版专著2部,已培养硕士研究生125人。学术梯队现有正高职 6人,副高职8人。每年招收2 ...
    本站小编 免费考研网 2016-12-30
  • 西安电子科技大学硕士专业介绍:电路与系统
    电路与系统 (080902)电路与系统学科具有博士和硕士学位授予权,并可招收博士后研究人员和访问学者,是国家重点学科,同时还是我校211工程建设的重点项目之一。现有教授20人,其中博士生导师5人,副教授和高级工程师38人,讲师和工程师30多人。重点实验室、研究所和教学基地 ...
    本站小编 免费考研网 2016-12-30
  • 西安理工大学研究生专业介绍:电路与系统
    电路与系统学科是电子科学与技术和信息与通信工程两个学科之间的桥梁,同时又是信号与信息处理、通信、电子控制、计算机乃至电力等诸方面研究和开发的理论与技术基础。本学科以现代电路理论、信号与系统理论为基础,主要对电子信息领域内的电路与系统的设计、开发、应用、制造等理论、技术和方法进行研究,以培养从事数字、 ...
    本站小编 免费考研网 2016-12-30
  • 宁夏大学硕士专业介绍:电路与系统
    电路与系统一、学科简介电路与系统学科属于电子科学与技术一级学科下的二级学科,是电子与信息等学科的基础理论研究专业,以现代电路与系统理论、现代电子技术以及相关的信息技术理论为研究体系,涉及现代电路理论、信号与图像处理、现代电子技术、现代电子测量、生物医学工程、神经网络等学科的基础理论与技术。本学科以宁 ...
    本站小编 免费考研网 2016-12-30
  • 云南大学硕士研究生专业介绍:电路与系统
    电路与系统本专业学科拥有雄厚的师资力量和良好的办学条件,建立了一支学历、年龄、知识结构合理的高素质的学术梯队,形成了具有特色和影响的学科群。在电路系统、网络通信、数字信号处理、智能信息处理等领域形成学科优势及特色,并做了大量的科学研究及产品开发工作,取得了一系列重要的成果,具有研究开发大型项目的经验 ...
    本站小编 免费考研网 2016-12-30
  • 太原理工大学电路与系统专业介绍
    电路与系统是信息工程学院二级学科博士点,山西省重点建设学科,已成为电子信息科学发展新技术的基础。该学科具有一支知识结构、年龄结构及专业技术职务结构合理,团结协作,学术思想端正、活跃的学术队伍。电路与系统学科的主要研究方向为:动态参数测试与智能仪 ...
    本站小编 免费考研网 2016-12-30
  • 华北电力大学(保定)专业介绍:电路与系统
    一、培养目标本专业研究生应坚持党的基本路线,拥护中国共产党的领导,热爱社会主义祖国,遵纪守法,品德良好,善于与人合作,身心健康,德智体全面发展,积极为社会主义现代化建设事业服务。硕士学位获得者在电路与系统方面应具有坚实、深厚的理论基础,深入了解国内外电路与系统方面的新技术和发展动向,全面、熟练地掌握 ...
    本站小编 免费考研网 2016-12-30