- 专业课考研资料 本站小编 免费考研网 2016-09-18
- 专业课考研资料 本站小编 免费考研网 2016-08-11
排 名 学校名称 星 级 重点学科 博士点 开此专业学校数 1 武汉大学 5★ 37 2 河海大学 5★ 37 3 清华大学 4★ 37 4 西安理工大学 4★ ...
考研报考信息 本站小编 免费考研网 2016-07-27下载地址:http://free.100xuexi.com/EBook/63852.html
封面
内容简介
目录
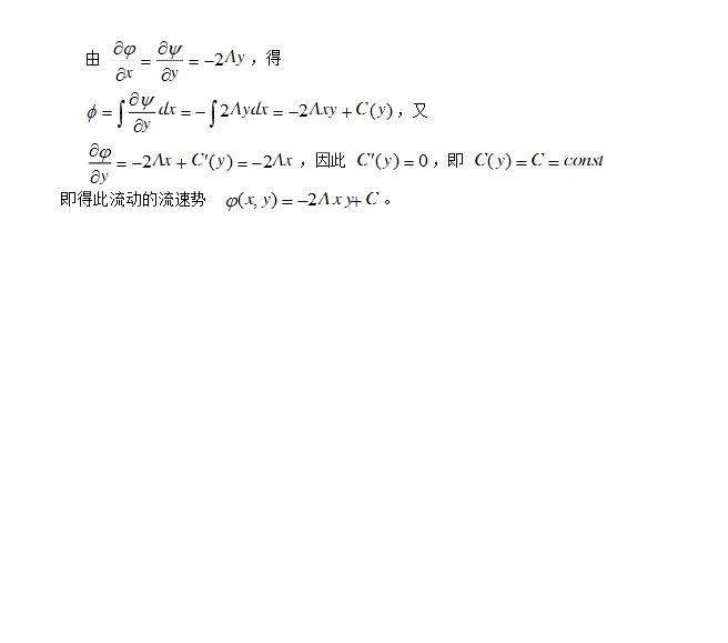
第一章 绪 论
第一节 重点与难点解析
第二节 名校考研真题详解
第三节 名校期末考试真题详解
第二章 流体静力学
第一节 重点与难点解析
第二节 名校考研真题详解
第三节 名校期末考试真题详解
第三章 流体动 ...
辅导考试考研资料 本站小编 免费考研网 2016-07-04水力学及河流动力学学科是一门历史悠久的学科专业。水利枢纽工程建设、河流治理、水资源的开发利用和航运工程建设都与水力学及河流动力学学科的研究和发展密切相关。该学科为一门综合运用各种科技理论、大量采用现代技术手段的应用基础研究学科,与数学、力学等基础理论学科相交叉,和水利水电工程、港口海岸工程、环境工程 ...
考研专业介绍 本站小编 免费考研网 2016-06-22- 专业课考研资料 本站小编 免费考研网 2016-01-09
2015水力学(西农)
判断题
1. 书中有公式推导 2.╳ 3. ╳ 4.
5.╳ 明渠均匀流的性质 6.╳ 7.
8. 见书中推导过程
9.╳ 水流能量是沿程不变或减少的,但断面比能可增大或减小 10. 11. 12. 13.╳ 14.╳ 15.╳
二、单项选择题 1. D 2. D 3. C 4. A 5. B 6. B ...
专业课考研资料 本站小编 免费考研网 2016-01-04第1章概论 内容提要
本章主要介绍水力学的定义及研究内容。同时介绍了连续介质模型、波体的特征及主要物理力学性质和作用在波体上的力。 1.1 液体的连续介质模型
液体是由无数没有微观运动的质点组成的没有空隙存在的连续体,并且认为表征液体运动的各物理量在空间和时间上都是连续分布的。
在连续介质模型中,质点是最 ...
专业课考研资料 本站小编 免费考研网 2015-12-23- 专业课考研资料 本站小编 免费考研网 2015-12-09
西北农林科技大学 硕士研究生入学考试 水力学复习笔记
第一章 绪 论
(一)液体的主要物理性质
1.惯性与重力特性:掌握水的密度和容重;
2.粘滞性:液体的粘滞性是液体在流动中产生能量损失的根本原因。
描述液体内部的粘滞力规律的是牛顿内摩擦定律 :
...
专业课考研资料 本站小编 免费考研网 2015-11-28