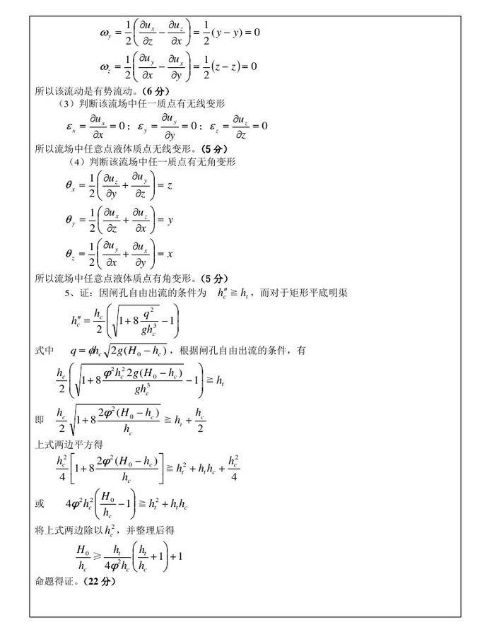
长沙理工大学2007年研究生入学考试水力学试题及答案(4)

本站小编 免费考研网/2016-09-18


相关话题/水力学